Modos de vibración de una cuerda

prev.gif (1231 bytes)home.gif (1232 bytes)next.gif (1211 bytes)

Movimiento ondulatorio

Propagación de un
movimiento ondulatorio
Descripción de la
propagación
Movimiento ondulatorio
armónico
Medida de la velocidad
del sonido
Ondas transversales en
una cuerda
marca.gif (847 bytes)Ondas estacionarias (I)
Vibraciones barra
Ondas estacionarias (II)
Ondas longitudinales
en una barra elástica
Reflexión y transmisión
de ondas
Ley de Snell de la 
refracción
Espejismos
java.gif (886 bytes) Modos de vibración de una cuerda sujeta por ambos extremos

java.gif (886 bytes) Explicación de las ondas estacionarias en una cuerda

 

Las ondas estacionarias no son ondas de propagación sino los distintos modos de vibración de una cuerda, una membrana, etc. En esta página, vamos a describir los modos de vibración de una cuerda, con la ayuda de una "experiencia" similar a la que se lleva a cabo en el laboratorio.

 

Modos de vibración de una cuerda sujeta por ambos extremos

estacionaria.gif (2496 bytes) Una cuerda horizontal está sujeta por uno de sus extremos, del otro extremo cuelga un platillo en el que se ponen pesas. Una aguja está sujeta al centro de la membrana de un altavoz y por el otro extremo está sujeta a la cuerda. La aguja empieza a vibrar cuando se conecta el altavoz al generador de ondas .

Tenemos un sistema oscilante, la cuerda, y la fuerza oscilante proporcionada por la aguja. Cuando la frecuencia de la fuerza oscilante, la que marca el generador coincide con alguno de los modos de vibración de la cuerda, la amplitud de su vibración se incrementa notablemente, estamos en una situación de resonancia

Nuestra experiencia simulada, difiere de la experiencia en el laboratorio, en que no cambiamos directamente la tensión de la cuerda sino la velocidad de propagación de las ondas. La relación entre una y otra magnitud se explica en la página que estudia las ondas transversales en una cuerda

Donde T es la tensión de la cuerda y m la densidad lineal de la cuerda.

Una vez establecida la velocidad de propagación, o la la tensión de la cuerda, vamos cambiando la frecuencia de la fuerza oscilante para buscar los distintos modos de oscilación de la cuerda.

modos.gif (6112 bytes) Una vez que encontramos la frecuencia del primer modo de vibración, se pueden buscar rápidamente los restantes: la frecuencia del segundo modo es el doble que la del modo fundamental, la frecuencia del tercer modo es triple, y así sucesivamente...

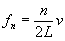
f1 modo fundamental

f n=nf1 armónicos n=2, 3, 4....

Antes de realizar esta "experiencia" se sugiere volver a mirar la página que     describe los modos de vibración de un sistema de partículas unidas por muelles elásticos.

 

Actividades

Se introduce

  • la velocidad de propagación en el control de edición titulado Velocidad p.
  • la frecuencia de la fuerza oscilante, en el control de edición titulado Frecuencia (Hz)

Se pulsa en el botón titulado Empieza.

Para cambiar la escala de la representación gráfica, basta introducir una nueva escala en el control de edición titulado Escala, y pulsar la tecla Retorno, o alternativamente, actuar sobre la barra de desplazamiento.

Como ejercicio, el lector puede hallar los primeros modos de vibración de una cuerda cuando sus velocidades de propagación son sucesivamente 4, 8, etc. Observar a la derecha del applet que cuando se cambia la velocidad se cambia el peso que cuelga de la cuerda y que cambia la tensión de la misma.

Los nodos, puntos cuya amplitud de oscilación es nula, se señalan mediante flechas de color rojo.

                   
 

Explicación de las ondas estacionarias en una cuerda

En este apartado, obtendremos la fórmula que nos da las frecuencias de los modos de vibración de una cuerda de longitud L, sujeta por sus extremos.

Una onda estacionaria se puede considerar como la interferencia de dos movimientos ondulatorios armónicos de la misma amplitud y longitud de onda:

  • una incidente, que se propaga de izquierda a derecha

yi=A·sen(kx-w t)

  • y otra relejada, que se propaga de derecha a izquierda.

yr=A·sen(kx+w t)

La onda estacionaria resultante es

y =yi+yr=2A·sen(kx)·cos(w t).

Como vemos esta expresión no corresponde a una onda de propagación, no tiene el término (kx-w t), sino que cada punto de la cuerda vibra con una frecuencia angular w y una amplitud 2A·sen(kx).

Se denominan nodos a los puntos x que tienen una amplitud mínima, 2sen(kx)=0, por lo que kx=np con n=1, 2, 3, .... o bien, x= l /2, l, 3l /2, ... La distancia entre dos nodos consecutivos es media longitud de onda, l /2.

Considérese ahora una cuerda de longitud L fija en los extremos. La cuerda tiene un conjunto de modos normales de vibración, cada uno con una frecuencia característica. Las frecuencias se pueden calcular fácilmente.

En primer lugar, los extremos de la cuerda deben de ser nodos ya que estos puntos se encuentran fijos. El primer modo de vibración será aquél en el que la longitud de la cuerda sea igual a media longitud de onda L=l /2. Para el segundo modo de vibración, la longitud de la cuerda será igual a una longitud de onda, L=l. Para el tercer modo, L=3l /2, y así sucesivamente. En consecuencia, las longitudes de onda de los diferentes modos de vibración se puede expresar como

Para hallar las frecuencias empleamos la relación l =vP, o bien l =v/f .

En la experiencia simulada que se ha realizado anteriormente, la cuerda tiene una unidad de longitud, las frecuencias de los distintos modos de vibración son por tanto, v/2, v, 3v/2, 2v, ...Siendo v la velocidad de propagación de las ondas en la cuerda.

 

Actividades

Se introduce

  • La frecuencia f del movimiento ondulatorio armónico, en el control de edición titulado Frecuencia.
  • La velocidad de propagación se ha fijado en la unidad v=1. De modo, que la longitud de onda λ=1/f

Se pulsa en el botón titulado Empieza

Se observa que:

  1. Una onda estacionaria se origina por la superposición de dos movimientos ondulatorios armónicos de la misma frecuencia que se mueven en direcciones opuestas, uno incidente y otro reflejado.
  2. Cuando la onda incidente se refleja en el origen x=0 experimenta un cambio de fase de π.