El escalón de potencial (E>E0)

prev.gif (1231 bytes)home.gif (1232 bytes)next.gif (1211 bytes)

Mecánica Cuántica

La ecuación de
Schrödinger 
marca.gif (847 bytes)Escalón de potencial
  E>E0
Escalón de potencial
E<E0
Modelo de núcleo
radioactivo
Desintegración
radioactiva
Caja de potencial
Pozo de potencial
Átomo, molécula... 
sólido lineal
Potencial periódico
Defectos puntuales
Barreras de potencial
El oscilador armónico
cuántico
Descripción

java.gif (886 bytes) Actividades

 

En el capítulo Movimiento Ondulatorio vimos que una onda luminosa o mecánica al atravesar la superficie de separación de dos medios de distintas propiedades ópticas o mecánicas, una parte se refleja y otra se transmite. La proporción de la intensidad de la onda incidente que se transmite se denomina coeficiente de transmisión, y la proporción de la intensidad de la onda incidente que se refleja se denomina coeficiente de reflexión.

Cuando una partícula atraviesa la frontera entre dos regiones de distinto potencial, no se divide en dos (lo que confirma que una partícula no es una onda clásica), sino que bien puede reflejarse o bien transmitirse. No podemos predecir de antemano la conducta de una partícula individual, sino la mayor o menor probabilidad de que se refleje o se transmita.

 

Descripción

La ecuación de Schrödinger independiente del tiempo en una región unidimensional cuya energía potencial viene descrita por la función Ep(x) es

Donde E es la energía total de la partícula de masa m

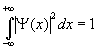
La solución de la ecuación de Schrödinger Y(x) se denomina función de onda.

La probabilidad de encontrar la partícula descrita por dicha función de onda en el intervalo x, x+dx es |Ψ(x)|2·dx. Naturalmente,

En otras palabras, la probabilidad por unidad de longitud (o densidad de probabilidad) de encontrar la partícula en x es |Ψ(x)|2 .

Si tenemos N partículas idénticas, N·|Ψ(x)|2 , nos dará el número de partículas que hay en la unidad de longitud. Si todas las partículas se mueven con la misma velocidad v, el flujo de partículas será N·v|Ψ(x)|2 . Se denomina densidad de corriente de probabilidad a la cantidad J=v|Ψ(x)|2 que es el producto de la velocidad de las partículas por la densidad de probabilidad.

 

Partícula libre

El caso más simple es el de una partícula libre. La energía potencial Ep(x)=0

La ecuación de Schrödinger se escribe

Ecuación diferencial análoga a la de un movimiento armónico simple, su solución la expresaremos de otra forma equivalente

 

Escalón de potencial

El escalón de potencial consiste en una región x<0 en la que la energía potencial es nula, seguida de una región x>0 en la que la energía potencial es constante y de valor E0.

La función Ep(x) presenta por tanto, una discontinuidad en x=0.

Escalon.gif (791 bytes)

Se pueden presentar dos casos

En este apartado trataremos el primer caso, dejando el segundo caso, algo más complejo, para el siguiente.

Planteamos la ecuación de Schrödinger en cada una de las regiones y hallamos su solución de forma semejante al de la partícula libre. En la siguiente tabla se resumen los resultados.

Región x<0, Ep(x)=0 Región x>0, Ep(x)=E0

En el punto x=0, la función de onda Y debe ser continua y también lo debe ser su derivada primera.

Lo que da lugar a un sistema de dos ecuaciones con dos incógnitas que nos permiten expresar los coeficientes B y C en función del coeficiente A.

Veamos ahora el significado físico de los distintos términos de la solución de la ecuación de Schrödinger. En la primera región x<0 tenemos partículas incidentes y reflejadas, pero en la segunda región x>0 solamente tenemos partículas transmitidas. La función de onda tiene dos términos en la primera región y un solo término en la segunda.

Partículas Función de onda Probabilidad Flujo
incidentes
reflejadas
transmitidas

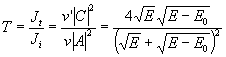
Se denomina coeficiente de reflexión a la proporción de partículas incidentes que se reflejan

Se denomina coeficiente de transmisión a la proporción de partículas incidentes que se transmiten.

Como puede fácilmente comprobarse R+T=1

Podemos ver aquí, una analogía con el movimiento ondulatorio, una onda incidente al atravesar dos medios de distinta naturaleza (densidad, índice de refracción, etc., dependiendo del tipo de onda) da origen a una onda reflejada que se propaga en el primer medio, y a una onda transmitida que se propaga en el segundo medio.

 

Actividades

  • Se introduce la energía de la partícula mayor que uno
  • Se pulsa en el botón Empieza, para que las partículas incidentes se reflejen o se transmitan. En la parte izquierda del applet se contabilizan el número de partículas incidentes y el número de partículas reflejadas.
     
  • Se desactiva la casilla titulada Ver movimiento, si no estamos interesados en ver el movimiento de la partícula, sino tan sólo en la proporción de partículas incidentes que se reflejan, para cada valor de la energía E que introducimos.
  • Observar que no podemos predecir la conducta de una partícula individual, si se va a reflejar o se va a transmitir.
  • Completar la siguiente tabla, calculando el cociente entre el número de partículas reflejadas y el número de partículas incidentes en la cuarta columna.
  • Compararlo con el coeficiente de reflexión deducido a partir de la ecuación de Schrödinger

Energía

Partículas incidentes

Partículas reflejadas

Cociente
reflej./incidentes

Coef. reflexión
(teórico)

1.1

       

1.2

       

1.3

       

1.4