Vasos comunicantes

prev.gif (1231 bytes)home.gif (1232 bytes)next.gif (1211 bytes)

Fluidos

Dinámica de fluidos
Vaciado de un depósito (I)
Vaciado de un depósito (II)
Cohete propulsado
por agua
marca.gif (847 bytes)Vasos comunicantes
Oscilaciones en un tubo
en forma de U 
Oscilaciones en vasos
comunicantes

Fluidos reales
Ley de Poiseuille
Fluido entre dos
cilindros coaxiales
Descarga de un
tubo-capilar
Carga y descarga de
un tubo-capilar
Analogía de las series de
desintegración radioactiva
Régimen laminar y 
turbulento
Efecto Magnus
Fundamentos físicos

java.gif (886 bytes)Actividades

 

Cuando se ponen en comunicación dos depósitos que contienen un mismo líquido que inicialmente están a distinta altura, el nivel de uno de los depósitos baja, sube el del otro hasta que ambos se igualan. Los conductores se comportan de modo análogo: cuando dos conductores que están a distinto potencial se conectan entre sí. La carga pasa de uno a otro conductor hasta que los potenciales en ambos conductores se igualen.

En esta página, vamos simular el comportamiento de dos vasos comunicantes suponiendo que la velocidad del fluido en el tubo de comunicación es proporcional a la raíz cuadrada de la diferencia de alturas que alcanza el fluido en ambos recipientes.

 

Fundamentos físicos

Dos recipientes de secciones S1 y S2 están comunicados por un tubo de sección S inicialmente cerrado. Si las alturas iniciales de fluido en los recipientes h01 y h02 son distintas, al abrir el tubo de comunicación, el fluido pasa de un recipiente al otro hasta que las alturas h1 y h2 del fluido en los dos recipientes se igualan.

bernoulli_4.gif (4347 bytes)

Si h01>h02, la altura h1 del fluido en el primer recipiente disminuye y aumenta la altura h2 en el segundo recipiente. La cantidad total de fluido no cambia, de modo que

S1h1+S2h2=S1h01+S2h02=(S1+S2)heq

Donde heq es la altura final de equilibrio.

Vamos ahora a deducir la función que describe la evolución de la altura h1 o h2 con el tiempo t.

El teorema de Torricelli afirma que la velocidad de salida del fluido por un orificio situado en el fondo de un recipiente es

Siendo h la altura del fluido en el recipiente por encima del orificio

Si ahora tenemos dos depósitos conectados, podemos describir el comportamiento de los vasos comunicantes suponiendo que la velocidad del fluido en el tubo de comunicación es proporcional a la raíz cuadrada de la diferencia de alturas que alcanza el fluido en ambos recipientes.

La cantidad de fluido que sale del primer recipiente a través del tubo que comunica ambos recipientes en la unidad de tiempo es vS, y en el tiempo dt será vSdt.

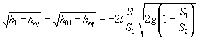
La disminución de la altura h1 en el primer recipiente se expresa del siguiente modo

Escribiendo h2 en función de h1, podemos integrar fácilmente esta ecuación

Se alcanza la altura de equilibrio heq después de un tiempo t que se calcula poniendo en la ecuación precedente h1=heq.

Ejemplo:

Sean las alturas iniciales h01=25 cm y h02=10 cm,

Los datos de los recipientes y del tubo de comunicación son

  • el radio del recipiente izquierdo por ejemplo, 10 cm
  • el radio del recipiente derecho por ejemplo, 5 cm
  • el radio del tubo de comunicación entre ambos recipientes por ejemplo, 0.2 cm

Los valores de las secciones respectivas serán serán

S1=p 102 cm2, S2=p 52 cm2, S=p (0.2)2 cm2

Obtenemos la altura de equilibrio,

S1h01+S2h02=(S1+S2)heq

Con estos datos heq=22 cm

Sustituyendo los datos en la ecuación de la altura en función del tiempo, se obtiene el tiempo t hasta que se alcanza la altura de equilibrio de 22 cm que vale 21.8 s. Para calcular este valor se sugiere pasar los datos de cm a m.

 

Actividades

Se introduce

  • el radio del recipiente izquierdo, actuando en la barra de desplazamiento titulada Radio izquierdo
  • el radio del recipiente derecho, actuando en la barra de desplazamiento titulada Radio derecho
  • el radio del tubo de comunicación entre ambos recipientes, en el control de edición titulado Radio tubo comunicación
  • la altura inicial h01 de agua en el depósito izquierdo, moviendo la flecha de color rojo con el puntero del ratón.
  • la altura inicial h02 de agua en el depósito derecho, moviendo la flecha de color azul con el puntero del ratón.

Se pulsa el botón titulado Empieza

Se observa que el fluido pasa del recipiente cuyo nivel de fluido es más alto al recipiente cuya nivel es más bajo. No pasa el fluido del recipiente que tiene más fluido al que tiene menos. Se comprueba este hecho introduciendo los valores adecuados de los radios de los depósitos y de las alturas iniciales de fluido en cada recipiente, por ejemplo.

Sean las alturas iniciales h01=25 cm y h02=10 cm,

Introducimos  en los correspondientes controles de edición, los valores de:

  • el radio del recipiente izquierdo por ejemplo, 5 cm
  • el radio del recipiente derecho por ejemplo, 10 cm
FluidoApplet1 aparecerá en un explorador compatible con JDK 1.1.

Se arrastra con el puntero del ratón las flechas de color rojo y azul