Cohete propulsado por agua

prev.gif (1231 bytes)home.gif (1232 bytes)next.gif (1211 bytes)

Fluidos

Dinámica de fluidos
Vaciado de un depósito (I)
Vaciado de un depósito (II)
marca.gif (847 bytes)Cohete propulsado
  por agua
Oscilaciones en un tubo
en forma de U 
Oscilaciones en vasos
comunicantes

Fluidos reales
Ley de Poiseuille
Viscosidad de un gas
Viscosidad de un líquido
Fluido entre dos
cilindros coaxiales
Descarga de un
tubo-capilar
Carga y descarga de
un tubo-capilar
Analogía de las series de
desintegración radioactiva
Régimen laminar y 
turbulento
Efecto Magnus
Datos del cohete

Llenado de aire

Empuje que experimenta el cohete

Ecuaciones del movimiento

Resultados

java.gif (886 bytes)Actividades

Referencias

 

Se continua en esta página, el estudio de un recipiente cerrado lleno parcialmente de agua que contiene aire en su interior a una presión elevada. Cuando se abre el orificio en la parte inferior del recipiente, el agua expulsada ejerce una fuerza sobre el recipiente similar al empuje que experimenta un cohete al expulsar el combustible quemado por sus toberas.

El análisis del sistema físico tiene las siguientes partes:

  • Llenado de aire del recipiente mediante una bomba de bicicleta o similar
  • Apertura del orificio en la parte inferior del recipiente y expulsión del agua, que ya hemos estudiado en la página anterior.
  • Empuje que experimenta el recipiente al expulsar el agua
  • Ecuaciones del movimiento.

 

Datos del cohete

El cohete consta de un recipiente de forma cilíndrica de 10 cm de radio y 50 cm de altura.

El radio del orificio situado en la parte inferior se puede modificar entre 1/2 y 1/10 del radio del recipiente. Por ejemplo, al elegir ¼, el radio del orificio es 10/4=2.5 cm

Otro dato es la proporción de agua en el recipiente. Por ejemplo, una proporción del 70% equivale a una altura de agua de 0.7·50=35 cm.

El cohete puede transportar una carga que es la suma de la carga útil más la masa de las paredes del recipiente.

Se introduce aire comprimido en el cohete con una bomba de volumen Vb= 5 litros.

cohete_1.gif (5215 bytes)

Llenado de aire

cohete_2.gif (3502 bytes)

Antes de accionar la bomba tenemos n0 moles de aire en el recipiente a la presión atmosférica y a la temperatura ambiente T.

pat·S1(H-h0)=n0RT

Cada vez que accionamos la bomba de volumen Vb, introducimos en el recipiente n moles de aire a la misma temperatura T.

pat·Vb=nRT

Si accionamos la bomba N veces, tendremos que la presión p0 del aire contenido en en el recipiente es

p0·S1(H-h0)=(n0+n·N)·RT

El manómetro marcará una presión final p0 dada por la fórmula

Ejemplo:

Supongamos que el tanto por ciento de agua en el recipiente es del 70%, la altura inicial de agua es h0=0.7·H=0.7·50=35 cm.

Sabiendo que el volumen de la bomba Vb= 5 litros, y el recipiente tiene un radio r1=10 cm. Si accionamos la bomba N=4 veces, la presión del aire en el recipiente cerrado será de p0=5.24 atm que es lo que marca el manómetro.

 

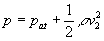
Empuje que experimenta el cohete

El recipiente experimenta un empuje que es el producto de la velocidad de salida del agua ve (medida en el sistema de referencia del cohete) por la masa de agua expulsada en la unidad de tiempo dM/dt. La velocidad de salida del agua es v2, y el volumen de agua expulsada en la unidad de tiempo (gasto) es S2·v2.

Como hemos visto en la página anterior el las ecuaciones que describen este sistema son:

  1. La ecuación de Bernoulli,


  2.  
  3. La ecuación de continuidad,

  4. S1·v1=S2·v2
     
  5. Expansión isotérmica del gas

p0·S1(H-h0)=p1·S1(H-h)

que nos permiten obtener la expresión de v1 ó v2 en función de la altura h de agua en el recipiente.

Aproximación

Si suponemos que la presión debida a la velocidad v1 en la interfase agua-aire y la presión debida a la altura h del agua son pequeñas comparadas con la presión p1=p del aire en el interior del recipiente, la ecuación de Bernoulli se escribe

Expresamos de forma simple, el empuje E en función de la presión p.

E=2(p-pat)S2

Variación de la altura del agua en el recipiente con el tiempo

A partir de la ecuación de continuidad, obtenemos la variación de la altura h del agua en recipiente en función del tiempo t.

 

Ecuaciones del movimiento

El movimiento del cohete se divide en dos etapas

  1. Mientras sale agua por el orificio

La masa del recipiente no es constante, sino disminuye con el tiempo. La masa del recipiente es la suma de la carga útil, de la masa de las paredes del recipiente y del agua que contiene en el instante t.

m=mu+r S1·h

La ecuación del movimiento vertical de un cohete, es la de una partícula de masa m bajo la acción de dos fuerzas el empuje y el peso.

ma=E-mg

En forma de ecuación diferencial

Tenemos que resolver un sistema de dos ecuaciones diferenciales simultáneas:

  • Una ecuación diferencial de primer orden, que nos calcula la variación de h con el tiempo.
  • La ecuación del movimiento. El empuje E y la masa m del cohete son funciones de h (altura de agua en el recipiente).

En el programa interactivo, se ha resuelto el sistema de dos ecuaciones diferenciales por el método de Runge-Kutta, sin realizar ninguna aproximación. Lo que nos permite incluso examinar el caso de que la presión del aire en el interior del recipiente no sea suficiente para expulsar toda el agua del mismo, y se alcance una altura del fluido en equilibrio tal como vimos en la página anterior.

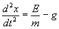
  1. Cuando se ha agotado el agua

Una vez que se ha agotado el agua del depósito, el aire en el interior del depósito tiene una presión p mayor que la presión atmosférica, pero supondremos despreciable el impulso adicional proporcionado por la salida del aire por el orificio inferior hasta que se igualan las presiones en el interior y exterior del recipiente. Sobre el cohete actúa solamente el peso, por lo que el movimiento es uniformemente acelerado

a=-g
v=v0-g
(t-t0)
x=x0+v0
(t-t0)-g(t-t0)2/2

donde x0, y v0 son la posición y la velocidad del móvil en el instante t0 en el que se ha agotado el combustible, en este caso, agua.

El rozamiento del aire

Al moverse un cuerpo en el aire con velocidad v, experimenta una fuerza de rozamiento, que es proporcional al cuadrado de la velocidad

Esta fuerza de rozamiento no es importante durante la fase de lanzamiento que dura poco tiempo y durante la cual la fuerza de empuje es la que predomina, pero puede ser importante en la fase de vuelo libre desde que se agota el combustible hasta que alcanza la máxima altura.

La fuerza de rozamiento no se ha tenido en cuenta en la simulación del cohete propulsado por agua.

 

Resultados

El programa interactivo permite investigar cómo cambia la velocidad máxima que alcanza el cohete al agotarse el agua del depósito (o la altura máxima) con la proporción inicial de agua en el depósito, fijada la carga útil mu, la presión inicial p0 del aire en el recipiente y el radio r2 del orificio de salida del agua.

En las gráficas que vienen a continuación, se ha dibujado:

  • En el eje vertical,  la velocidad máxima v que alcanza el cohete al acabar de salir el agua por el orificio inferior.
  • En el eje horizontal, la fracción f=h0·100/H  (tanto por ciento) inicial de agua en el depósito.
  1. Se ha fijado la carga útil mu y el radio r2 del orificio de salida del agua y se examina el comportamiento del cohete para dos presiones iniciales p0 distintas del aire contenido en el depósito.

Cuando la presión inicial p0 es pequeña, y la fracción de agua en el depósito f es grande, el cohete no llega a despegar, el empuje es menor que el peso.

Cuando la presión inicial del aire p0 es grande, existe una fracción f para la cual la altura que alcanza el cohete es máxima.

  1. En la gráfica siguiente, se ha fijado la presión inicial del aire p0 contenido en el recipiente, y el radio r2 del orificio de salida del agua. Vemos que cuanto mayor es la carga útil mu menor es la velocidad final o la máxima altura que alcanza el cohete.

  1. Finalmente, examinamos el comportamiento del cohete fijando la carga útil mu y la presión inicial p0 del aire en el depósito, para dos valores del radio del orificio de salida r2=10/2 cm y  r2=10/10 cm.

Como ejercicio, se sugiere al lector que fije la presión inicial del aire en el recipiente, la carga útil y el radio del orificio, y trate de buscar la proporción óptima de agua en el cohete a fin de que alcance la altura máxima posible. En general, que examine el comportamiento del cohete al cambiar los distintos parámetros.

Nota: Las ecuaciones del movimiento del cohete, mientras expulsa agua, se resuelven aplicando procedimientos numéricos. Cuando la presión p0 es elevada y la carga útil mu es pequeña, la solución de las ecuaciones diferenciales empieza a tener errores apreciables, tal como se pone de manifiesto en la forma aserrada de algunas curvas de las figuras.

 

Actividades

Se introduce

  • La proporción de agua en el recipiente, actuando en la barra de desplazamiento titulada % de agua
  • El radio del orificio de salida del agua, eligiendo una fracción del radio del depósito, en el control selección titulado radio orificio.
  • La carga que transporta el cohete (que incluye la carga útil y las paredes del recipiente) introduciendo un valor en el control de edición titulado carga.

Se pulsa el botón titulado Nuevo

A continuación, se pulsa varias veces en el botón titulado Aire, para introducir aire en el interior del recipiente. En el manómetro situado a la derecha del cohete vemos como va aumentando la presión. Se puede detener el movimiento del émbolo de la bomba de aire con el botón titulado Pausa, para seleccionar cualquier valor de la presión.

Se pulsa el botón titulado Despega.

Veremos que el agua es expulsada por el orificio inferior, el aire se expande en el interior del recipiente disminuyendo la presión.

Dos flechas indican las magnitudes relativas del peso y del empuje durante la fase de lanzamiento. Cuando se se termina de salir el agua, el empuje se hace cero y el cohete se mueve con movimiento uniformemente acelerado hasta que alcanza la altura máxima.

En la parte izquierda del applet, un punto de color rojo indica la posición (altura) del cohete.

FluidoApplet1 aparecerá en un explorador compatible con JDK 1.1.

 

Referencias

Finney G.A., Analysis of water-propelled rocket: A problem in honors physics. Am. J. Phys. 68 (3) March 2000, pp. 223-227.