El tubo-capilar

prev.gif (1231 bytes)home.gif (1232 bytes)next.gif (1211 bytes)

Fluidos

Dinámica de fluidos
Vaciado de un depósito (I)
Vaciado de un depósito (II)
Cohete propulsado
por agua
Oscilaciones en un tubo
en forma de U 
Oscilaciones en vasos
comunicantes

Fluidos reales
Ley de Poiseuille
Viscosidad de un gas
Viscosidad de un líquido
Fluido entre dos
cilindros coaxiales
marca.gif (847 bytes)Descarga de un 
  tubo-capilar
Carga y descarga de
un tubo-capilar
Analogía de las series de
desintegración radioactiva
Régimen laminar y 
turbulento
Efecto Magnus
Fundamentos físicos

Fenómenos físicos análogos

java.gif (886 bytes)Actividades

Otros tubos capilares

Referencias

 

El tubo-capilar consiste en un tubo de plástico transparente cerrado por su extremo inferior con un tapón. Perpendicularmente al tubo de plástico y en su parte inferior, se perfora y se introduce un tubo de vidrio de pequeño diámetro, que hace de capilar a través del cual se descarga la columna de fluido viscoso. Una regla colocada en su parte exterior o marcas sobre el tubo permiten medir la altura de la columna de fluido en función de tiempo.

 

Fundamentos físicos

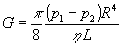
Partiendo de la ley de Poiseuille

la diferencia de presión p1-p2 entre los extremos del capilar es igual a la presión que ejerce la altura h de la columna de fluido de densidad r. Luego, p1-p2=r gh

Si G es el volumen de fluido que sale del capilar en la unidad de tiempo, la altura h de la columna de fluido disminuye, de modo que

Siendo S la sección del tubo. Podemos escribir la ecuación anterior

donde l se denomina constante del tubo-capilar.

Integrado la ecuación diferencial, con la condición inicial de que en el instante t=0, la altura inicial sea h=h0.

La altura de la columna de fluido h decrece exponencialmente con el tiempo t.

Tomando logaritmos neperianos

lnh=lnh0-λt

Si realizamos la representación gráfica de lnh frente a t obtenemos una línea recta de pendiente –λ.

En el laboratorio de la E.U.I.T.I. de Eibar (véase el primer artículo citado en las referencias) se ha realizado las siguientes medidas con un tubo-capilar usando aceite de automóvil como fluido.

h(cm)

t (s)

47.5

0

42.5

29

37.5

62

32.5

101

27.5

145

22.5

197

17.5

265

12.5

355

7.5

500

Si introducimos los datos t, y ln(h) en el programa interactivo de la página Regresión lineal, obtenemos una línea recta de pendiente -0.00371, de modo que la constante λ=0.00371 s-1.

Si disponemos de los datos relativos a

  • Longitud del capilar L y su radio R

  • Área de la sección del tubo S

  • Densidad del fluido ρ

Podemos despejar la viscosidad η del fluido de la fórmula que nos relaciona valor de la constante λ del tubo-capilar, con dichos parámetros, deducida al principio de este apartado.

Vida media

La vida media de unas sustancia radioactiva se define como el tiempot  necesario para que el número de núcleos activos se reduzca a la mitad.

Relacionamos la vida media t del tubo-capilar y su constante l , poniendo h=h0/2.

 

Fenómenos físicos análogos

La ecuación que describe la descarga de un tubo-capilar es similar a

Las variables físicas análogas se recogen en el siguiente cuadro

Fluidos Electricidad Radioactividad
h, altura de la columna de fluido q, carga del condensador N, número de núcleos sin desintegrar
dh/dt, velocidad de decrecimiento i=dq/dt, intensidad de la corriente eléctrica dN/dt, actividad radioactiva en valor absoluto
l , constante del tubo-capilar 1/RC, constante del circuito l , constante de desintegración

 

Actividades

Se introduce

  • la longitud del tubo-capilar en cm, actuando en la barra de desplazamiento titulada Longitud capilar.

Se pulsa el botón titulado Nuevo.

Con el puntero del ratón se arrastra la flecha de color rojo, para establecer la altura inicial h0 de la columna de fluido.

Se pulsa el botón titulado Empieza.

Comienza a salir el fluido por el capilar. Simultáneamente, se traza la curva que nos describe la altura de fluido en función del tiempo. Podemos observar que es una exponencial decreciente. Se marca el tiempo que tarda en alcanzarse la mitad de la altura inicial, lo que se conoce como vida media.

FluidoApplet1 aparecerá en un explorador compatible con JDK 1.1.

Se arrastra con el puntero del ratón la flecha de color rojo

                                     

 

Otros tubos capilares

El aceite de automóvil tiene alta viscosidad, por lo que la longitud del capilar puede ser reducida (menor que 15 cm. Sin embargo, la utilización de aceite en un laboratorio escolar puede ser un inconveniente cuando las medidas las realizan los estudiantes.

Depósito de agua de sección constante

El agua tiene una baja viscosidad, por lo que el capilar tiene que tener bastante longitud, para asegurarse que el agua fluye en régimen laminar. En el segundo artículo citado en las referencias, se proporcionan los datos de un tubo-capilar que utiliza agua como fluido.
  • Longitud del tubo 122 cm (4 ft)
  • Diámetro interno 1.67 cm (21/32 in)
  • Longitud del capilar 122 cm (4 ft)
  • Diámetro interno de 1.25 a 1.75 mm

Depósito de agua de sección variable

Se puede evitar el largo capilar, construyendo un depósito de sección variable, una de cuyas paredes no es vertical, sino de forma que su sección disminuye con la altura, tal como se muestra en la figura.

Vamos a mostrar que cuando la forma de la parte curva del depósito es y=c/x2

donde c es constante, la variación de la altura h del agua del depósito disminuye exponencialmente con el tiempo t.

Elegimos dos puntos del fluido, el 1 en la superficie libre, la sección del depósito es S1 y la velocidad del fluido en dicha sección es v1. El punto 2 está en el extremo del capilar de pequeña sección S2, la velocidad del fluido a la salida del depósito es v2.

La ecuación de continuidad se escribe

v1S1=v2S2

y la ecuación de Bernoulli

Por otra parte, el elemento de fluido delimitado por las secciones S1 y S2 está en contacto con el aire a la misma presión. Luego, p1=p2=p0.

La diferencia de alturas es y1-y2=h. Siendo h la altura de la columna de fluido

De estas dos ecuaciones obtenemos v1 y v2

Si S1>>S2 obtenemos

El volumen de fluido que sale del depósito en la unidad de tiempo es S2v2, y en el tiempo dt será S2v2dt . Como consecuencia disminuirá la altura h del depósito

-S1dh= S2v2dt

La sección rectangular variable S1 es el producto del lado a de longitud constante y del lado de longitud variable.

donde c es una constante. La variación de la altura h del fluido en el depósito con el tiempo t se escribe

donde l se denomina constante del tubo-capilar.

Integrado la ecuación diferencial, con la condición inicial de que en el instante t=0, la altura inicial sea h=h0.

h=h0·exp(-λt)

En el tercer artículo citado en las referencias se dan detalles del depósito empleando. Las dimensiones de las partes rectas es de 25.4 cm (10 in)

La parte curva tiene la forma y=819.1/x2  cm, de modo que cuando x=25.4 cm (10 in) y=1.27 cm (0.5 in). El depósito no se extiende obviamente, hasta el infinito sino que se corta a esta distancia 25.4 cm. Por tanto, la altura del fluido en función del tiempo, no proporciona buenos resultados cuando h es inferior a 1.27 cm.

 

Referencias

Franco A. Analogías Físicas (Mecánica, Electricidad, Fluidos) . Documentación E.I. (Enseñanzas Integradas). Vol 6 (3),1982, págs. 63-69

Smithson J. R., Pinkston E. R., Half-life of a water column as a laboratory exercise in exponential decay.  Am. J. Phys. 28 (1960) pp. 740-742

Bohn J. L., Nadig F. H., Hydrodynamic model for demostrations in radioactivity. Am. J. Phys. 22 (1954), pp. 320-323