Fluidos reales

prev.gif (1231 bytes)home.gif (1232 bytes)next.gif (1211 bytes)

Fluidos

Dinámica de fluidos
Vaciado de un depósito (I)
Vaciado de un depósito (II)
Cohete propulsado
por agua
Oscilaciones en un tubo
en forma de U 
Oscilaciones en vasos
comunicantes

marca.gif (847 bytes)Fluidos reales
  Ley de Poiseuille
Viscosidad de un gas
Viscosidad de un líquido
Fluido entre dos
cilindros coaxiales
Descarga de un 
tubo-capilar
Carga y descarga de
un tubo-capilar
Analogía de las series de
desintegración radioactiva
Régimen laminar y 
turbulento
Efecto Magnus
Viscosidad

Ley de Poiseuille

Fórmula de Stokes

java.gif (886 bytes)Actividades

 

Viscosidad

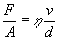
La viscosidad es el rozamiento interno entre las capas de fluido. A causa de la viscosidad, es necesario ejercer una fuerza para obligar a una capa de fluido a deslizar sobre otra.

En la figura, se representa un fluido comprendido entre una lámina inferior fija y una lámina superior móvil.

viscosidad.gif (2395 bytes)

La capa de fluido en contacto con la lámina móvil tiene la misma velocidad que ella, mientras que la adyacente a la pared fija está en reposo. La velocidad de las distintas capas intermedias aumenta uniformemente entre ambas láminas tal como sugieren las flechas. Un flujo de este tipo se denomina laminar.

Como consecuencia de este movimiento, una porción de líquido que en un determinado instante tiene la forma ABCD, al cabo de un cierto tiempo se deformará y se transformará  en la porción ABC’D’.

Sean dos capas de fluido de área S que distan dx y entre las cuales existe una diferencia de velocidad dv.

viscosidad_1.gif (1838 bytes) La fuerza por unidad de área que hay que aplicar es proporcional al gradiente de velocidad. La constante de proporcionalidad se denomina viscosidad h.

             (1)

En el caso particular, de que la velocidad aumente uniformemente, como se indicó en la primera figura, la expresión (1) se escribe

En la figura, se representan dos ejemplos de movimiento de un fluido a lo largo de una tubería horizontal alimentada por un depósito grande que contiene líquido a nivel constante. Cuando el tubo horizontal está cerrado todos los tubos manométricos dispuestos a lo largo de la tubería marcan la misma presión p=p0+r gh. Al abrir el tubo de salida los manómetros registran distinta presión según sea el tipo de fluido.

  • Fluido ideal

Un fluido ideal (figura de la izquierda) sale por la tubería con una velocidad,Image465.gif (980 bytes) , de acuerdo con el teorema de Torricelli. Toda la energía potencial disponible (debido a la altura h) se transforma en energía cinética. Aplicando la ecuación de Bernoulli podemos fácilmente comprobar que la altura del líquido en los manómetros debe ser cero.

viscosidad_7.gif (3394 bytes) viscosidad_8.gif (4046 bytes)
                   
  • Fluido viscoso

En un fluido viscoso (figura de la derecha) el balance de energía es muy diferente. Al abrir el extremo del tubo, sale fluido con una velocidad bastante más pequeña. Los tubos manométricos marcan alturas decrecientes, informándonos de las pérdidas de energía por rozamiento viscoso. En la salida, una parte de la energía potencial que tiene cualquier elemento de fluido al iniciar el movimiento se ha transformado íntegramente en calor. El hecho de que los manómetros marquen presiones sucesivamente decrecientes nos indica que la pérdida de energía en forma de calor es uniforme a lo largo del tubo

Viscosidad de algunos líquidos

Líquido h ·10-2 kg/(ms)
Aceite de ricino 120
Agua 0.105
Alcohol etílico 0.122
Glicerina 139.3
Mercurio 0.159

 

Ley de Poiseuille

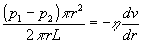
Consideremos ahora un fluido viscoso que circula en régimen laminar por una tubería de radio interior R, y de longitud L, bajo la acción de una fuerza debida a la diferencia de presión existente en los extremos del tubo.

F=(p1-p2)p r2

viscosidad_3.gif (3592 bytes)

Sustituyendo F en la fórmula (1) y teniendo en cuenta que el área A de la capa es ahora el área lateral de un cilindro de longitud L y radio r.

El signo negativo se debe a que v disminuye al aumentar r.

  • Perfil de velocidades

Integrando esta ecuación, obtenemos el perfil de velocidades en función de la distancia radial, al eje del tubo. Se ha de tener en cuenta que la velocidad en las paredes del tubo r=R es nula.

que es la ecuación de una parábola.

viscosidad_2.gif (2549 bytes)

El flujo tiene por tanto un perfil de velocidades parabólico, siendo la velocidad máxima en el centro del tubo.

  • Gasto

El volumen de fluido que atraviesa cualquier sección normal del tubo en la unidad de tiempo se denomina gasto.

El volumen de fluido que atraviesa el área del anillo comprendido entre r y r+dr en la unidad de tiempo es v(2p rdr). Donde v es la velocidad del fluido a una distancia r del eje del tubo y 2p rdr es el área del anillo.

El gasto se hallará integrando

El gasto G es inversamente proporcional a la viscosidad h y varía en proporción directa a la cuarta potencia del radio del tubo R, y es directamente proporcional al gradiente de presión a lo largo del tubo, es decir al cociente (p1-p2)/L.

El gasto se puede expresar G=πR2<v>, donde <v> es la velocidad media del fluido

 

Fórmula de Stokes

Cuando un cuerpo se mueve en el seno de un fluido viscoso la resistencia que presenta el medio depende de la velocidad relativa y de la forma del cuerpo. El régimen de flujo es laminar cuando la velocidad relativa es inferior a cierto valor crítico,  la resistencia que ofrece el medio es debida casi exclusivamente a las fuerzas de rozamiento que se oponen al resbalamiento de unas capas de fluido sobre otras, a partir de la capa límite adherida al cuerpo. Se ha comprobado experimentalmente, que la resultante de estas fuerzas es una función de la primera potencia de la velocidad relativa. Para el caso de una esfera, la expresión de dicha fuerza se conoce como la fórmula de Stokes.

Image26.gif (990 bytes)

Donde R es el radio de la esfera, v su velocidad y h la viscosidad del fluido.

Una aplicación práctica de la fórmula de Stokes es la medida de la viscosidad de un fluido.

 

Actividades

Se introduce

  • la viscosidad 1, 2 ó 3, en el control de selección titulado Viscosidad
  • el gradiente de presión 1, 2, ó 3, en el control de selección titulado Gradiente de presión

Se pulsa el botón titulado Empieza

En el applet, se muestra el movimiento de partículas de fluido situadas a distintas distancias del eje del tubo. Se comprueba que las velocidades de las partículas son directamente proporcionales al gradiente de presión (p1-p2)/L e inversamente proporcionales a la viscosidad h.

FluidoApplet1 aparecerá en un explorador compatible con JDK 1.1.