Régimen laminar y régimen turbulento

prev.gif (1231 bytes)home.gif (1232 bytes)next.gif (1211 bytes)

Fluidos

Dinámica de fluidos
Vaciado de un depósito (I)
Vaciado de un depósito (II)
Cohete propulsado
por agua
Oscilaciones en un tubo
en forma de U 
Oscilaciones en vasos
comunicantes

Fluidos reales
Ley de Poiseuille
Viscosidad de un gas
Viscosidad de un líquido
Fluido entre dos
cilindros coaxiales
Descarga de un
tubo-capilar
Carga y descarga de
un tubo-capilar
Analogía de las series de
desintegración radioactiva
marca.gif (847 bytes)Régimen laminar y 
  turbulento
Efecto Magnus
Dispositivo experimental

Velocidad de salida del fluido en función de la altura h.

java.gif (886 bytes)Actividades

Referencias

 

Hemos estudiado el comportamiento de un fluido perfecto (ecuación de Bernoulli) y el comportamiento de un fluido viscoso en régimen laminar (ecuación de Poiseuille). Sin embargo, no existe una teoría análoga que describa el comportamiento de los fluidos en régimen turbulento, o que explique la transición de régimen laminar a turbulento.

El objetivo de estas página es la de familiarizar al lector con el denominado número de Reynolds, y la importancia que tiene a la hora de definir si un determinado fluido está en régimen laminar, turbulento, o en la transición entre ambos regímenes.

Podremos observar que los resultados experimentales se ajustan notablemente a las predicciones del flujo laminar para valores bajos del número de Reynolds R, hasta aproximadamente 3000, y se ajustan a las predicciones del flujo turbulento para valores de R mayores que 4400 aproximadamente. Mientras que los valores intermedios de R cubren una amplia región en la que se produce la transición de flujo y ninguna de las dos teorías reproduce satisfactoriamente los resultados experimentales.

El número de Reynolds es el número adimensional

Donde D es el diámetro del tubo, r la densidad del fluido, y h la viscosidad, y v su velocidad.

Para fluidos no ideales la ecuación de Bernoulli toma la forma

donde el término H se denomina "pérdida de carga". Si el fluido es ideal H=0,

 

Dispositivo experimental

El dispositivo experimental consta de un frasco de Mariotte de 27.4 cm de diámetro y 57.5 cm de altura, que desagua a través de un tubo horizontal de longitud L y diámetro D, que se inserta en un orificio situado en la parte inferior del frasco.

Se dispone de un conjunto de tres tubos intercambiables de los siguientes diámetros y longitudes

Tubo Longitud (cm) Diámetro (mm)
1 29.3 2.42
2 56.7 3.96
3 50.5 5.36

La velocidad v de salida del agua por el tubo horizontal se puede determinar mediante simples medidas de caudal.

En la experiencia real, se recogerán los datos correspondientes a la velocidad v de salida del agua por el tubo horizontal en función de la altura h del tubo del frasco de Mariotte. Se compararán los valores "experimentales" con las predicciones del flujo laminar y del flujo turbulento.

La utilización de tubos de vidrio de dimensiones diferentes permite comprobar que la transición del régimen laminar al turbulento es independiente de éstas, dependiendo únicamente, del valor crítico de un parámetro adimensional: el número de Reynolds.

 

El frasco de Mariotte

Uno de los ejemplos más ilustrativos de la ecuación de Bernoulli es el frasco de Mariotte. Este sencillo dispositivo nos proporciona un caudal constante mientras el nivel de líquido en el recipiente esté por encima del extremo inferior del tubo vertical.

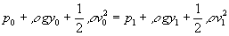
Aplicando la ecuación de Bernoulli a los puntos 0 (extremos inferior del tubo vertical) y 1 (orificio de salida o entrada del tubo horizontal), tendremos

Teniendo en cuenta que la diferencia de alturas y0-y1=h, que la presión p0 en el extremo inferior del tubo vertical es la presión atmosférica pat, y que v0» 0, ya que la sección del recipiente es mucho mayor que la sección del orificio de salida.

        (1)

 

El tubo horizontal

Para un tubo horizontal de sección uniforme la ecuación de continuidad implica que v1=v2=v. Los puntos 1 y 2 están a la misma altura y1=y2=0, y la presión a la salida del tubo es la atmosférica p2=pat.

Fluido perfecto

Como v1=v2 e y1=y2. La ecuación de Bernoulli implica

p1=p2=pat.

La ecuación (1) se escribe 

El gasto G=p ·r2·v, que se mantiene constante mientras que el nivel del líquido en el recipiente esté por encima del extremo inferior del tubo vertical.

Fluido viscoso en régimen laminar

Al estudiar ley de Poiseuille vimos que el gasto G=πr2v era directamente proporcional al gradiente de presión a lo largo del tubo, es decir, al cociente (p1-p2)/L.

Como  p2=pat. la ecuación (1) se escribe

Ejemplo:

Para el agua a 20ºC los datos son densidad r=1000 kg/m3 y viscosidad h=1.002·10-3 kg/(ms)

Supongamos que utilizamos el primer tubo, L=29.3 cm y D=2r=2.42 mm, y que la altura h=30 cm

Resolvemos la ecuación de segundo grado para calcular v, tomando la raíz positiva v=1.30 m/s. El caudal es Gr2v=6.0 litros/s

El número de Reynolds vale

 

Velocidad de salida del fluido en función de la altura h.

  • Entre el punto 0 y 1 (frasco de Mariotte)

                     (1)

  • Entre el punto 1 y 2 (tubo horizontal),

Como el punto 2 está en contacto con el aire, p2=pat y v=v1=v2 por la ecuación de continuidad.

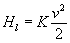
p1-pat=r (HL+Hl)

Siendo H= HL+Hl las pérdidas totales de carga.

Combinando ambas ecuaciones llegamos a la ecuación que relaciona v y h.

   (2)

Hay dos expresiones para la pérdida HL una que describe el comportamiento del fluido en régimen laminar y otra que describe el comportamiento del fluido en régimen turbulento como veremos más adelante.

Otras pérdidas

Bajo el término Hl se agrupan otras pérdidas menores debidas a la entrada y salida del fluido por el tubo horizontal, y que son independientes de que el régimen del fluido sea laminar o turbulento.

siendo comunes los valores de K=0.78 en la entrada y K=1 en la salida. En total tenemos que

Fluido en régimen laminar

A la diferencia de presión p1-p2 en los extremos del tubo horizontal dividida entre la densidad r del fluido, se le denomina pérdida de carga HL en el flujo laminar

Siendo L y la longitud y el diámetro del tubo horizontal y h la viscosidad del fluido.

La ecuación (2) teniendo en cuanta las expresiones de las pérdidas de carga HL en el flujo laminar y las pérdidas Hl debidas a la entrada y salida del fluido por el tubo horizontal, se expresa

:

Ejemplo:

Para el agua a 20ºC los datos son r=1000 kg/m3 y h=1.002·10-3 kg/(ms)

Volvemos al ejemplo del apartado anterior. Supongamos que utilizamos el primer tubo, L=29.3 cm y D=2r=2.42 mm, y que la altura h=30 cm

Resolvemos la ecuación de segundo grado para calcular v, tomando la raíz positiva v=0.988 m/s. El caudal es Gr2v=4.5 litros/s

El número de Reynolds vale

Fluido en régimen turbulento

En este caso, se emplea la fórmula empírica de Blasius válida para tubos lisos y para valores del número de Reynolds hasta 105.

Expresaremos  HL en términos de las variables básicas en vez del número de Reynolds R. Las pérdidas  Hl debidas a la entrada y salida del fluido por el tubo horizontal tienen la misma expresión en el régimen laminar y en el turbulento

La ecuación (2) se escribe

Se resuelve mediante el procedimiento numérico del punto medio.

Experiencia

Se establece la altura h del extremo inferior del tubo vertical en el frasco Mariotte medida desde el centro del orificio de salida, o desde el eje del tubo horizontal.

El agua que sale por el extremo del tubo horizontal cae en un medidor de caudal. El volumen de agua que sale del tubo horizontal en la unidad de tiempo (gasto) es

Se mide el volumen V de agua en cm3 recogida en el medidor de caudal en el tiempo t, V=G·t. Conocido el diámetro del tubo se calcula la velocidad v de salida del agua.

Si empleamos el tercer tubo D=5.36 mm y se ha tardado t=8.89 s en recoger V=200 cm3. La velocidad v de salida del agua es

v=99.7 cm/s =1.0 m/s

El número de Reynolds se calcula mediante la fórmula

 

Actividades

Se elige uno de los tres tubos horizontales activando el botón de radio 1, 2, ó 3 del grupo titulado Tubo de vidrio

Se pulsa el botón titulado Inicio.

Se establece la altura h del extremo inferior del tubo vertical en el frasco Mariotte, arrastrando la flecha de color rojo con el puntero del ratón

Se pulsa el botón titulado Empieza.

Se representa una porción del tubo horizontal ampliada, y una línea de corriente, una línea horizontal  indica que el flujo es laminar, una línea quebrada señala que el flujo es turbulento.

El programa interactivo calcula la velocidad v del fluido en el tubo horizontal para cada altura h y el número de Reynolds.

Se pulsa el botón titulado Datos

Los pares de datos h y v se guardan en el control área de texto situado a la izquierda del applet.

Se pulsa el botón titulado Inicio y se repite el proceso de medida

Cuando se tengan suficientes datos (cuatro pares o más) se pulsa el botón titulado Gráfica.

Se cambia el tubo horizontal, activando en el correspondiente botón de radio del grupo titulado Tubo de vidrio

Se representan los datos "experimentales", y las funciones que describen el comportamiento del fluido en régimen laminar (en rojo) y en régimen turbulento (en azul).

 

FluidoApplet1 aparecerá en un explorador compatible con JDK 1.1.

Se arrastra con el puntero del ratón la flecha de color rojo

 

Referencias

Maroto, J. A, de Dios J., de las Nieves F. J. Utilización de un frasco de Mariotte para el estudio experimental de la transición de régimen laminar a turbulento. Revista Española de Física, Vol-13, nº 5, págs 42-47.

Para simular la experiencia real, el programa interactivo ha utilizado los valores experimentales suministrados por uno de los autores J. A. Maroto.