La caja de potencial

prev.gif (1231 bytes)home.gif (1232 bytes)next.gif (1211 bytes)

Mecánica Cuántica

La ecuación de
Schrödinger  
Escalón de potencial
E>E0
Escalón de potencial
E<E0
Modelo de núcleo
radioactivo
Desintegración
radioactiva
marca.gif (847 bytes)Caja de potencial
Pozo de potencial
Átomo, molécula... 
sólido lineal
Potencial periódico
Defectos puntuales
Barreras de potencial
El oscilador armónico
cuántico
java.gif (886 bytes)La caja de potencial

 El átomo de Bohr

Referencias

 

La cuantización de la energía es uno de los conceptos más importantes de la Mecánica Cuántica, ya que explica las propiedades de los átomos que constituyen los componentes básicos de la materia.

Para calcular los niveles de energía, es necesario resolver una ecuación diferencial de segundo orden, la ecuación de Schrödinger para la función potencial especificada, que en muchos casos carece de solución analítica sencilla. Por simplicidad, elegiremos como modelos de átomo, primero una caja de potencial y después un pozo de potencial.

 

La caja de potencial

Consideremos una partícula obligada a moverse en una región entre x=0 y x=a, tal como una molécula en una caja, un electrón libre en un trozo de metal, etc. Si la energía cinética del electrón es pequeña comparada con la altura de la barrera de potencial, el electrón se podrá mover libremente a través del metal pero no podrá escapar de él.

Pozo3.gif (1229 bytes)

Podemos representar estas situaciones físicas, por un potencial rectangular de altura infinita. Tenemos que Ep(x)=0 para 0<x<a, ya que la partícula se mueve libremente en esta región, y fuera de esta región la energía potencial se hace infinita. Entonces, cualquiera que sea el valor de le energía E de la partícula, ésta no puede estar a la izquierda de x=0, ni a la derecha de x=a. La función de onda en dichas regiones debe de ser nula.

La ecuación de Schrödinger en la región 0<x<a donde Ep(x)=0 se escribe

Su solución ya se ha proporcionado al estudiar el escalón de potencial.

Las condiciones de contorno requieren que Y(x)=0 en x=0, obtenemos

Y(x)=2iA·sen(kx)

y también, que Y(x)=0 en x=a. Como A no puede ser cero, tenemos entonces,

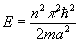
sen(ka)=0 por lo que ka=np donde n es un número entero.

La energía de la partícula será

Si E1 es la energía del primer nivel (n=1) la energía de los sucesivos niveles es 4E1, 9E1, 16E1... Concluimos que la partícula no puede tener una energía arbitraria, sino valores concretos, decimos que la energía de la partícula está cuantizada.

Las funciones de onda se parecen a los modos de vibración de una cuerda tensa, sujeta por ambos extremos o también denominadas ondas estacionarias. Observaremos, que el modo fundamental no tiene nodos (no corta al eje horizontal). El segundo armónico, tiene un nodo (corta una vez al eje horizontal), el tercero tiene dos nodos, y así sucesivamente. Podemos saber el orden del nivel de energía contando el número de veces que la función de onda corta al eje horizontal.

 

Actividades

Se introduce

  • la anchura de la caja de potencial, en el control de edición titulado Anchura
  • la masa de la partícula, en el control de edición titulado Energía
Se pulsa en el botón Gráfica para ver los primeros niveles de energía y sus correspondientes funciones de onda.
  • Cuando los niveles de energía están muy juntos las funciones de onda correspondientes a cada nivel se superponen. Desactivar entonces, la casilla Ver funciones de onda, y solamente se verán los niveles de energía.
  • Como se puede observar, las funciones de onda son semejantes a los modos de vibración de una cuerda tensa sujeta por ambos extremos.
                                   

 

El átomo de Bohr

En el capítulo Electromagnetismo se estudia el modelo de átomo de Bohr como ejemplo de movimiento de una carga (el electrón) bajo la fuerza de atracción del núcleo.

Supongamos que un electrón describe una órbita circular de radio r

Para que la órbita corresponda a un estado estacionario, la longitud de la circunferencia de radio r deberá ser un múltiplo entero de la longitud de onda λ tal como se ve en la figura.

r=nλ

La longitud de onda de de Broglie de una partícula de masa me que se mueve con velocidad v es onda λ=h/p. Donde h es la constante de Planck, y p=mev es el momento lineal del electrón.

La dinámica del movimiento circular uniforme nos dice que la fuerza de atracción entre el núcleo de carga +Ze y el electrón e es igual al producto de la masa del electrón por la aceleración normal

Eliminando v en estas dos ecuaciones obtenemos el radio de las órbitas permitidas del electrón del átomo de Hidrógeno o ión hidrogenoide.

donde a0 se denomina radio de Bohr. a0 es el radio de la órbita del electrón del átomo de Hidrógeno Z=1 en su estado fundamental n=1

La energía del electrón en una órbita circular de radio r vale

En una órbita circular la energía total E es la mitad de la energía potencial

La energía del electrón aumenta con el número cuántico n.

Actividades

Se introduce

  • El número cuántico n, del electrón en el átomo de Hidrógeno Z=1,

Se pulsa el botón titulado Gráfica

Para el valor de n seleccionado, se representa la órbita circular de radio r, y la onda estacionaria de de Broglie de longitud de onda λ, tal que 2πr=nλ.

 

ThomsonApplet aparecerá en un explorador compatible con JDK 1.1.

 

Referencias

Para el átomo de Bohr

Blomm D., Blomm D. W. Vibrating wire loop and the Bohr model. The Physics Teacher, 41, May 2003, pp. 292-294