Átomo, molécula...sólido lineal

prev.gif (1231 bytes)home.gif (1232 bytes)next.gif (1211 bytes)

Mecánica Cuántica

La ecuación de
Schrödinger  
Escalón de potencial
E>E0
Escalón de potencial
E<E0
Modelo de núcleo
radioactivo
Desintegración
radioactiva
Caja de potencial
Pozo de potencial
marca.gif (847 bytes)Átomo, molécula... 
  sólido lineal
Potencial periódico
Defectos puntuales
Barreras de potencial
El oscilador armónico
cuántico
java.gif (886 bytes) Sistema de pozos de potencial

java.gif (886 bytes) Constitución efectiva de las bandas de energía

 

Sistema de pozos de potencial

La cuantización de la energía es el concepto más importante en Mecánica Cuántica, ya que explica las propiedades de los átomos que constituyen los componentes básicos de la materia.

Para calcular los niveles de energía, es necesario resolver una ecuación diferencial de segundo orden, la ecuación de Schrödinger, para la función potencial especificada, que en muchos casos carece de solución analítica sencilla.

En la sección dedicada a la cuantización de la energía ya se estudiaron dos sistemas simples: la caja de potencial y el pozo de potencal. La solución de la ecuación de Schrödinger en un potencial simétrico da lugar a funciones de onda simétricas y antisimétricas. El estado fundamental está descrito por una función de onda simétrica y a continuación, le sigue un estado descrito por una función de onda antisimétrica y así sucesivamente, de forma alternada.

Consideremos un sistema de pozos de potencial iguales separados por barreras de potencial de la misma anchura y altura.

Solido5.gif (3583 bytes)

Resolviendo la ecuación de Schrödinger en cada una de las regiones tenemos.

donde qj es un número complejo real o imaginario dependiendo si la región es un pozo Vj=0 o una barrera E<Vj.

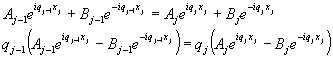
En las fronteras entre las regiones hemos de aplicar las condiciones de continuidad de la función de onda y de su derivada primera. Sea la frontera entre las regiones j-1 y j, cuya abscisa es xj.

que relaciona coeficientes Aj y Bj con Aj-1 y Bj-1

Tenemos un sistema de 2N ecuaciones con 2N+2 incógnitas. Ahora bien, el número de incógnitas se reduce teniendo en cuenta la simetría de la función potencial, y la definición de función de onda:

En la región N, la función de onda YN(x) tiende a cero al hacerse x grande, de modo que al ser qN imaginario, el coeficiente BN debe de ser cero.

En la primera región de potencial la función de onda es

  • Las funciones de onda simétricas son aquellas que

  • Las funciones de onda antisimétricas son aquellas que

Para los estados simétricos tenemos por tanto, un conjunto de 2N ecuaciones con 2N incógnitas. Los distintos niveles de energía correspondientes a los estados simétricos se obtienen haciendo el determinante de los coeficientes del sistema homogéneo igual a cero. El mismo procedimiento se emplea para hallar los niveles de energía correspondientes a los estados antisimétricos.

 

Actividades

El applet calcula los niveles de energía y representa las funciones de onda de un sistema de pozos de potencial

Se introduce

  • el número de pozos, en el control de edición titulado Número de pozos
  • la anchura de cada uno de los pozos, en el control de edición titulado Anchura del pozo
  • la separación entre los pozos, en el control de edición titulado Separación
  • la profundidad de los pozos está fijada en el programa en un valor igual a 5 unidades.
Se pulsa el botón titulado Niveles, y se calculan los niveles de energía, su valor numérico se muestra en el control lista a la izquierda de la ventana, y se representan mediante líneas horizontales sobre la función potencial.

Seleccionando con el puntero del ratón un nivel de energía en el control lista y pulsando en el botón titulado Función de onda, se representa la función de onda correspondiente al nivel seleccionado. El mismo resultado se obtiene haciendo doble-clic sobre el valor del nivel de energía en el control lista situado a la izquierda de la ventana.

Cuando el número de pozos es elevado, el programa tarda cierto tiempo en efectuar el cálculo. Cuando el cursor por defecto cambia a la forma de reloj de arena comienza el proceso de cálculo, y termina cuando aparece de nuevo sobre la ventana del applet el cursor por defecto en forma de puntero.

 

El átomo.

Introduciendo un uno en el control de edición titulado Número de pozos, se representa un pozo de potencial cuya anchura podemos modificar en el intervalo que va de 0.5 a 3 unidades, introduciendo el valor correspondiente en el control de edición titulado Anchura del pozo.

Vamos a considerar el pozo de potencial como un modelo simplificado de átomo, contaremos el número de niveles de energía, observaremos su distribución y la representación de las funciones de onda correspondientes a cada uno de dichos niveles.

 

La molécula diatómica

Si el pozo de potencial simple nos da la imagen de un átomo, el pozo de potencial doble es una simplificación de la molécula diatómica.

En el applet, podremos observar que por cada nivel de energía del pozo de potencial simple, se producen dos niveles de energía próximos en el pozo de potencial doble. El nivel más bajo de cada doblete tiene una energía inferior a la correspondiente del pozo de potencial simple y además, es un estado simétrico. Por otra parte, podemos comprobar que el desdoblamiento se incrementa a medida que disminuye la separación entre los pozos.

Los resultados anteriores permiten explicar las facetas esenciales de la unión covalente entre átomos iguales, en el mismo estado, para una distancia de equilibrio entre ambos.

  • El estado fundamental tiene una energía inferior a la de los dos átomos aislados, lo que configura una unión estable, la función de onda es simétrica.
  • El segundo nivel, tiene una energía superior a la de los átomos aislados, es una unión inestable, la función de onda es antisimétrica.

Comparando la función de onda del átomo en el estado fundamental, y las funciones de onda simétrica y antisimétrica de la molécula diatómica, se pueden establecer las siguientes relaciones aproximadas, base de la teoría conocida por la abreviatura C.L.O.A. (Combinación lineal de orbitales atómicos)

Ψ=Ψ12    para el estado fundamental
Ψ=Ψ12    para el
primer nivel

La descripción en términos de probabilidad (cuadrado de la función de onda) nos sugiere que cuando los átomos están alejados, los electrones de cada átomo están ligados a su núcleo respectivo. Cuando la separación es pequeña, en el nivel fundamental, hay una cierta probabilidad, no nula, de encontrar electrones entre ambos átomos, los electrones que participan en la unión no pertenecen ya a un átomo concreto, sino que participan de ambos.

Como actividades de este apartado se proponen:

  • Observar los dos primeros niveles de energía de un sistema de dos pozos de potencial y compararlos con el nivel fundamental de un sólo pozo de la misma anchura.
  • Comparar la función de onda del estado fundamental de un pozo con las funciones de onda de los dos primeros niveles del sistema de dos pozos de potencial.

 

Sólido lineal

Un sistema de 3, 4, 5, etc. pozos de potencial representa un modelo simple de los enlaces p de las moléculas conjugadas lineales, tales como los polienos. Los electrones se mueven en una región descrita por un potencial periódico y cada nivel de energía atómico se divide en un número de niveles igual al número de átomos.

En general, en una red de N átomos cada nivel de energía atómico da lugar a N niveles cercanos. Cuando N es grande los niveles de energía están espaciados tan finamente que se puede decir que forman una banda continua de energía.

De acuerdo al Principio de Exclusión de Pauli, cada nivel puede acomodar dos electrones, uno con espín hacia arriba y otro con espín hacia abajo. Una banda de energía correspondiente a un estado atómico dado, puede acomodar un máximo de 2N electrones. Si la banda correspondiente a la capa atómica más externa, la ocupada por los electrones de valencia, no está completamente llena, se denomina banda de conducción, pero si lo está, se denomina banda de valencia, y la banda vacía que queda por encima recibe el nombre de banda de conducción. Dependiendo de la estructura de las bandas, los materiales tienen distintas propiedades eléctricas clasificándose en conductores, aisladores y semiconductores.

Solido4.gif (1300 bytes) La representación gráfica de las funciones de onda de los primeros niveles de energía de un sistema de muchos pozos de potencial, nos sugiere que se trata de funciones cuya forma es semejante a los modos de vibración de una cuerda,  pero modulados por la función de onda de un pozo de potencial.

En la figura se esquematiza los tres primeros modos de una cuerda vibrante.

Como actividades en este apartado se propone observar los niveles de energía y su distribución, para cada sistema de "átomos" que hayamos definido.

  • Introducir un número determinado de pozos de potencial y observar el efecto de la modificación de la anchura de los pozos. Observar posteriormente, el efecto de la modificación de la separación entre "átomos" manteniendo fijas sus dimensiones.
  • También podrá observar la relación entre la forma de las funciones de onda y de los modos de vibración de una cuerda, el modo fundamental no tiene nodos (no corta al eje horizontal). El segundo armónico, tiene un nodo (corta una vez al eje horizontal), el tercero tiene dos nodos, y así sucesivamente. Lo mismo ocurre con las funciones de onda de un conjunto de pozos de potencial. Podemos saber el orden del nivel de energía contando el número de veces que la función de onda corta al eje horizontal.
  • El applet calcula mediante un procedimiento numérico, los niveles de energía. Cuando la diferencia de energía entre dos o más niveles es menor que el paso de exploración que emplea el programa, no se calcula algunos de los niveles. El usuario observará que faltan algunos niveles, es decir, no se suceden de la forma habitual simétrico, antisimétrico, simétrico, etc.

 

                
 

Constitución efectiva de las bandas de energía

En un segundo applet podemos visualizar todos los niveles de energía de 1, 2, 3, 4, 5, 6, 7, 8, 9 pozos de potencial, y las bandas de energía de un sistema de infinitos pozos de potencial de la misma anchura y profundidad, y separados por la misma distancia.

Podremos observar de un vistazo la constitución efectiva de las bandas de energía por adición sucesiva de "átomos" a la cadena lineal. En particular, como se multiplican los niveles de energía al incrementar el número de pozos de potencial, y cómo se van agrupando los niveles en determinados intervalos de energía, que darán lugar niveles continuos de energía denominadas bandas, cuando el número de pozos sea muy grande.

Se introduce

  • la anchura de cada uno de los pozos, en el control de edición titulado Anchura del pozo
  • la separación entre los pozos, en el control de edición titulado Separación
  • la profundidad de los pozos está fijada en el programa en un valor igual a 5 unidades.
Se pulsa en el botón titulado Niveles.

Se deberá esperar un cierto tiempo hasta que concluya el cálculo de los niveles de energía. Cuando mayor sea el número de pozos, mayor es el número de niveles, como consecuencia, el tiempo de cálculo se incrementa considerablemente.