Trabajo y energía

prev.gif (1231 bytes)home.gif (1232 bytes)next.gif (1211 bytes)

Dinámica

Trabajo y energía
marca.gif (847 bytes)Trabajo y energía
El péndulo simple
El muelle elástico (I)
El muelle elástico (II)
El muelle elástico (III)
Partícula unida a 
una goma
Trabajo y energía
(el bucle)
El péndulo cónico
Equilibrio y 
estabilidad (I)
Equilibrio y 
estabilidad (II)
Equilibrio y 
estabilidad (III)
Equilibrio y 
estabilidad (IV)
Movimiento sobre
una cicloide (I)
Movimiento sobre
cúpula semiesférica
Movimiento sobre
sup. semicircular
Carrera de dos 
esquiadores
Movimiento sobre
una cicloide (II)
Movimiento sobre
una parábola
Concepto de trabajo

Concepto de energía cinética

Fuerza conservativa. Energía potencial

Principio de conservación de la energía

Fuerzas no conservativas

Balance de energía

 

Concepto de trabajo

Se denomina trabajo infinitesimal, al producto escalar del vector fuerza por el vector desplazamiento.

bucle1.gif (881 bytes)

Donde Ft es la componente de la fuerza a lo largo del desplazamiento, ds es el módulo del vector desplazamiento dr, y q  el ángulo que forma el vector fuerza con el vector desplazamiento.

El trabajo total a lo largo de la trayectoria entre los puntos A y B es la suma de todos los trabajos infinitesimales

Su significado geométrico es el área bajo la representación gráfica de la función que relaciona la componente tangencial de la fuerza Ft, y el desplazamiento s.

Ejemplo: Calcular el trabajo necesario para estirar un muelle 5 cm, si la constante del muelle es 1000 N/m.

La fuerza necesaria para deformar un muelle es F=1000·x N, donde x es la deformación. El trabajo de esta fuerza se calcula mediante la integral

El área del triángulo de la figura es (0.05·50)/2=1.25 J

Cuando la fuerza es constante, el trabajo se obtiene multiplicando la componente de la fuerza a lo largo del desplazamiento por el desplazamiento.

W=Ft·s

Ejemplo:

Calcular el trabajo de una fuerza constante de 12 N, cuyo punto de aplicación se traslada 7 m, si el ángulo entre las direcciones de la fuerza y del desplazamiento son 0º, 60º, 90º, 135º, 180º.

  • Si la fuerza y el desplazamiento tienen el mismo sentido, el trabajo es positivo
  • Si la fuerza y el desplazamiento tienen sentidos contrarios, el trabajo es negativo
  • Si la fuerza es perpendicular al desplazamiento, el trabajo es nulo.

 

Concepto de energía cinética

Supongamos que F es la resultante de las fuerzas que actúan sobre una partícula de masa m. El trabajo de dicha fuerza es igual a la diferencia entre el valor final y el valor inicial de la energía cinética de la partícula.

En la primera línea hemos aplicado la segunda ley de Newton; la componente tangencial de la fuerza es igual a la masa por la aceleración tangencial.

En la segunda línea, la aceleración tangencial at es igual a la derivada del módulo de la velocidad, y el cociente entre el desplazamiento ds y el tiempo dt que tarda en desplazarse es igual a la velocidad v del móvil.

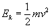
Se define energía cinética como la expresión

El teorema del trabajo-energía indica que el trabajo de la resultante de las fuerzas que actúa sobre una partícula modifica su energía cinética.

Ejemplo: Hallar la velocidad con la que sale una bala después de atravesar una tabla de 7 cm de espesor y que opone una resistencia constante de F=1800 N. La velocidad inicial de la bala es de 450 m/s y su masa es de 15 g.

El trabajo realizado por la fuerza F es -1800·0.07=-126 J

La velocidad final v es

 

Fuerza conservativa. Energía potencial

Un fuerza es conservativa cuando el trabajo de dicha fuerza es igual a la diferencia entre los valores inicial y final de una función que solo depende de las coordenadas. A dicha función se le denomina energía potencial.

El trabajo de una fuerza conservativa no depende del camino seguido para ir del punto A al punto B.

El trabajo de una fuerza conservativa a lo largo de un camino cerrado es cero.

Ejemplo

Sobre una partícula actúa la fuerza F=2xyi+x2j N

Calcular el trabajo efectuado por la fuerza a lo largo del camino cerrado ABCA.

  • La curva AB es el tramo de parábola y=x2/3.
  • BC es el segmento de la recta que pasa por los puntos (0,1) y (3,3) y
  • CA es la porción del eje Y que va desde el origen al punto (0,1)

El trabajo infinitesimal dW es el producto escalar del vector fuerza por el vector desplazamiento

dW=F·dr=(Fxi+Fyj)·(dxi+dyj)=Fxdx+Fydy

Las variables x e y se relacionan a través de la ecuación de la trayectoria y=f(x), y los desplazamientos infinitesimales dx y dy se relacionan a través de la interpretación geométrica de la derivada dy=f’(x)·dx. Donde f’(x) quiere decir, derivada de la función f(x) con respecto a x.

Vamos a calcular el trabajo en cada unos de los tramos y el trabajo total en el camino cerrado.

  • Tramo AB

Trayectoria y=x2/3, dy=(2/3)x·dx.

  • Tramo BC

La trayectoria es la recta que pasa por los puntos (0,1) y (3,3). Se trata de una recta de pendiente 2/3 y cuya ordenada en el origen es 1.

y=(2/3)x+1, dy=(2/3)·dx

  • Tramo CD

La trayectoria es la recta x=0, dx=0, La fuerza F=0 y por tanto, el trabajo WCA=0

  • El trabajo total

WABCA=WAB+WBC+WCA=27+(-27)+0=0

El peso es una fuerza conservativa

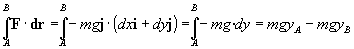
Calculemos el trabajo de la fuerza peso F=-mg j cuando el cuerpo se desplaza desde la posición A cuya ordenada es yA hasta la posición B cuya ordenada es yB.

bucle2.gif (1176 bytes)

La energía potencial Ep correspondiente a la fuerza conservativa peso tiene la forma funcional

Donde c es una constante aditiva que nos permite establecer el nivel cero de la energía potencial.

La fuerza que ejerce un muelle es conservativa

Como vemos en la figura cuando un muelle se deforma x, ejerce una fuerza sobre la partícula proporcional a la deformación x y de signo contraria a ésta.

Para x>0, F=-kx

Para x<0, F=kx

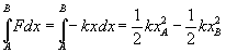
El trabajo de esta fuerza es, cuando la partícula se desplaza desde la posición xA a la posición xB es

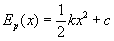
La función energía potencial Ep correspondiente a la fuerza conservativa F vale

El nivel cero de energía potencial se establece del siguiente modo: cuando la deformación es cero x=0, el valor de la energía potencial se toma cero, Ep=0, de modo que la constante aditiva vale c=0.

 

Principio de conservación de la energía

Si solamente una fuerza conservativa F actúa sobre una partícula, el trabajo de dicha fuerza es igual a la diferencia entre el valor inicial y final de la energía potencial

Como hemos visto en el apartado anterior, el trabajo de la resultante de las fuerzas que actúa sobre la partícula es igual a la diferencia entre el valor final e inicial de la energía cinética.

Igualando ambos trabajos, obtenemos la expresión del principio de conservación de la energía

EkA+EpA=EkB+EpB

La energía mecánica de la partícula (suma de la energía potencial más cinética) es constante en todos los puntos de su trayectoria.

Comprobación del principio de conservación de la energía

Un cuerpo de 2 kg se deja caer desde una altura de 3 m. Calcular

  1. La velocidad del cuerpo cuando está a 1 m de altura y cuando llega al suelo, aplicando las fórmulas del movimiento rectilíneo uniformemente acelerado

  2. La energía cinética potencial y total en dichas posiciones

Tomar g=10 m/s2

  • Posición inicial x=3 m, v=0.

Ep=2·10·3=60 J, Ek=0, EA=Ek+Ep=60 J

  • Cuando x=1 m

Ep=2·10·1=20 J, Ek=40, EB=Ek+Ep=60 J

  • Cuando x=0 m

Ep=2·10·0=0 J, Ek=60, EC=Ek+Ep=60 J

La energía total del cuerpo es constante. La energía potencial disminuye y la energía cinética aumenta.

 

Fuerzas no conservativas

Para darnos cuenta del significado de una fuerza no conservativa, vamos a compararla con la fuerza conservativa peso.

El peso es una fuerza conservativa.

Calculemos el trabajo de la fuerza peso cuando la partícula se traslada de A hacia B, y a continuación cuando se traslada de B hacia A.

bucle4.gif (1490 bytes) WAB=mg x

WBA=-mg x

El trabajo total a lo largo el camino cerrado A-B-A, WABA es cero.

La fuerza de rozamiento es una fuerza no conservativa

Cuando la partícula se mueve de A hacia B, o de B hacia A la fuerza de rozamiento es opuesta al movimiento, el trabajo es negativo por que la fuerza es de signo contrario al desplazamiento

bucle5.gif (1110 bytes) WAB=-Fr x

WBA=-Fr x

El trabajo total a lo largo del camino cerrado A-B-A, WABA es distinto de cero

WABA=-2Fr x

 

Balance de energía

En general, sobre una partícula actúan fuerzas conservativas Fc y no conservativas Fnc. El trabajo de la resultante de las fuerzas que actúan sobre la partícula es igual a la diferencia entre la energía cinética final menos la inicial.

El trabajo de las fuerzas conservativas es igual a la diferencia entre la energía potencial inicial y la final

Aplicando la propiedad distributiva del producto escalar obtenemos que

El trabajo de una fuerza no conservativa modifica la energía mecánica (cinética más potencial) de la partícula.

Ejemplo 1:

Un bloque de masa 0.2 kg inicia su movimiento hacia arriba, sobre un plano de 30º de inclinación, con una velocidad inicial de 12 m/s. Si el coeficiente de rozamiento entre el bloque y el plano es 0.16. Determinar:

  • la longitud x que recorre el bloque a lo largo del plano hasta que se para

  • la velocidad v que tendrá el bloque al regresar a la base del plano

 

Cuando el cuerpo asciende por el plano inclinado

  • La energía del cuerpo en A es EA=½0.2·122=14.4 J

  • La energía del cuerpo en B es EB=0.2·9.8·h=1.96·h =0.98·x J

  • El trabajo de la fuerza de rozamiento cuando el cuerpo se desplaza de A a B es

W=-Fr·x=-μ·mg·cosθ·x=-0.16·0.2·9.8·cos30·x=-0.272·x J

De la ecuación del balance energético W=EB-EA, despejamos x=11.5 m, h=x·sen30º=5.75 m

Cuando el cuerpo desciende

  • La energía del cuerpo en B es EB=0.2·9.8·h=1.96·h =0.98·x=0.98·11.5=11.28 J

  • La energía del cuerpo en la base del plano EA==½0.2·v2

  • El trabajo de la fuerza de rozamiento cuando el cuerpo se desplaza de B a A es

W=-Fr·x=-μ·mg·cosθ·x=-0.16·0.2·9.8·cos30·11.5=-3.12 J

De la ecuación del balance energético W=EA-EB, despejamos v=9.03 m/s.

Ejemplo 2:

Una partícula de masa m desliza sobre una superficie en forma de cuarto de circunferencia de radio R, tal como se muestra en la figura.

Las fuerzas que actúan sobre la partícula son:

  • El peso mg

  • La reacción de la superficie N, cuya dirección es radial

  • La fuerza de rozamiento Fr, cuya dirección es tangencial y cuyo sentido es opuesto a la velocidad de la partícula.

Descomponiendo el peso mg, a lo largo de la dirección tangencial y normal, escribimos la ecuación del movimiento de la partícula en la dirección tangencial

mat=mg·cosθ-Fr

Donde at=dv/dt es la componente tangencial de la aceleración. Escribimos en forma de ecuación diferencial la ecuación del movimiento

Calculamos el trabajo Wr realizado por la fuerza de rozamiento. La fuerza de rozamiento es de sentido contrario al desplazamiento

 

Teniendo en cuenta que el deslazamiento es un pequeño arco de circunferencia dl=R·dθ y que

El trabajo realizado por la fuerza no conservativa Fr vale

Si el móvil parte del reposo v=0, en la posición θ=0. Cuando llega a la posición θ

  • La energía cinética se ha incrementado en mv2/2.

  • La energía potencial ha disminuido en mgRsenθ.

El trabajo de la fuerza de rozamiento es igual a la diferencia entre la energía final y la energía inicial o bien, la suma de la variación de energía cinética más la variación de energía potencial.

El trabajo total de la fuerza de rozamiento cuando la partícula describe el cuarto de círculo es

Para un cálculo explícito del trabajo de la fuerza de rozamiento véase "Movimiento sobre un cúpula semiesférica con rozamiento"