Dinámica de rotación y balance energético

prev.gif (1231 bytes)home.gif (1232 bytes)next.gif (1211 bytes)

Sólido rígido

Dinámica de rotación
Ecuación de la
dinámica de rotación
Momentos de inercia
marca.gif (847 bytes)Dinámica de rotación
 y balance energético
Péndulo de torsión
Péndulo compuesto
El columpio
Rozamiento en el
movimiento de rotación
El oscilador de 
"Atwood"
Varilla inclinada
Lápiz que cae (I)
Lápiz que cae (II)
Escalera que desliza
Escalera, estática y
dinámica
 
Primera experiencia

Segunda experiencia

Tercera experiencia

java.gif (886 bytes) Actividades

 

En el aula y en el laboratorio se propone a los estudiantes resolver un conjunto de problemas de dinámica del sólido rígido para practicar las ecuaciones de la dinámica de rotación y el principio de conservación de la energía.

Se usa un dispositivo similar a una rueda de bicicleta que puede girar alrededor de un eje fijo. Se enrollan cuerdas de las que penden una o dos pesas tal como se muestra en la figura.

din_solido1.gif (3221 bytes)

Se mide el tiempo que tarda una pesa en recorrer una determinada altura, partiendo del reposo. A partir de este dato, de las masas de los cuerpos, y de los radios interior y exterior de la rueda, se calcula el momento de inercia por dos procedimientos

  • Aplicando las ecuaciones de la dinámica
  • Aplicando el principio de conservación de la energía

Describiremos a continuación, cada una de los tres experiencias desde el más sencilla a la más complicada

 

Primera experiencia

  • Método: conservación de la energía

La comparación de la situación inicial y la situación final nos permite formular rápidamente el principio de conservación de la energía.

rotaci1.gif (2555 bytes)
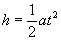
  • La pesa de masa m desciende una altura h.
  • La pesa de masa m incrementa su velocidad en v
  • La rueda gira con velocidad angular w

La energía potencial disminuye en mgh, su energía cinética se incrementa en mv2/2, y lo mismo ocurre para sólido en rotación, su energía cinética se incrementa en Iw 2/2.

La ecuación del balance energético es

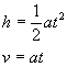
La velocidad v se calcula a partir de h y del tiempo t que tarda la pesa en descender esta altura, partiendo del reposo.

La velocidad angular w está relacionada con la velocidad v de la pesa que a su vez, es la misma que la velocidad de un punto del borde de la rueda de radio r (siendo r el radio interior de la rueda). Véase la relación entre magnitudes lineales y angulares.

Completar la siguiente tabla  y despejar el momento de inercia desconocido

Altura h  
Tiempo t  
Velocidad v  
Radio r  
Velocidad angular w  
Masa  m de la pesa  
Momento de inercia I  

 

  • Método: dinámica

En la figura, se han dibujado el esquema de las fuerzas sobre los cuerpos que intervienen en el movimiento.

rotaci11.gif (1572 bytes)
  • La ecuación de la dinámica de rotación de la rueda es

T·r=Ia

  • La ecuación de la dinámica de traslación de la pesa es

mg-T=ma

  • La relación entre la aceleración angular a del disco y la aceleración a de la pesa es la misma que la existente entre sus respectivas velocidades

a=a·r

Conocido el tiempo t que tarda en caer la pesa y la altura h desde la que cae, se determina la aceleración a

A partir de la medida del radio r de la rueda (interior o exterior, según el caso), se calcula la aceleración angular a del disco, la tensión T de la cuerda y se despeja el momento de inercia I desconocido.

Altura h  
Tiempo t  
Aceleración a  
Radio r  
Aceleración angular a  
Masa de la pesa m  
Tensión de la cuerda T  
Momento de inercia I  

Ejemplo:

Se introduce

  • Masa de la primera pesa cero (m1=0),
  • Masa de la segunda pesa m2=200 g,
  • Radio interior r=30 cm.

Se pulsa el botón titulado Empieza, y se mide el tiempo que tarda la pesa en recorrer una determinada altura medida por la regla adjunta. Utilizar los botones titulados Pausa y Paso para acercarse a la altura deseada.

Se calcula el momento de inercia y se compara con la respuesta dada por el programa interactivo pulsando en el botón titulado Respuesta.

 

Segunda experiencia

  • Método: conservación de la energía

La comparación de la situación inicial y la situación final nos permite formular el principio de conservación de la energía.

rotaci2.gif (2956 bytes)
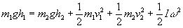
  • La pesa de masa m2 desciende una altura h.
  • La pesa de masa m1 asciende la misma altura h.
  • La pesa de masa m1 aumenta en v su velocidad.
  • Lo mismo le ocurre a la pesa de masa m2
  • La rueda gira con velocidad angular w .

Se formula el principio de conservación de la energía

Calculando la velocidad v a partir de h y del tiempo t que la pesa tarda en descender esta altura, partiendo del reposo, y relacionando v con velocidad angular w de la rueda, se obtiene el momento de inercia I.

Completar la siguiente tabla  y despejar el momento de inercia desconocido

Altura h  
Tiempo t  
Velocidad v  
Radio R  
Velocidad angular w  
Masa m1 de la pesa 1  
Masa m2 de la pesa 2  
Momento de inercia I  

 

  • Método: Dinámica

En la figura, se han dibujado el esquema de las fuerzas sobre los cuerpos que intervienen en el movimiento. A partir de este esquema, formulamos las ecuaciones de la dinámica de cada uno de los cuerpos.

rotaci21.gif (2091 bytes) m2g-T2=m2a

T1-m1g=m1a

T2R-T1R=Ia

a=a R

Como en el ejemplo anterior, conocido el tiempo t que tarda en caer la pesa de mayor masa y la altura h desde la que cae, se determina la aceleración a

A partir de la medida del radio exterior R de la rueda, se calcula la aceleración angular a del disco, las tensiones T1 y T2 de la cuerda y se despeja el momento de inercia I desconocido.

Altura h  
Tiempo t  
Aceleración a  
Radio R  
Aceleración angular a  
Masa m1 de la pesa 1  
Masa m2 de la pesa 2  
Tensión de la cuerda T1  
Tensión de la cuerda T2  
Momento de inercia I  

Ejemplo:

Se introduce:

  • Masa m1 de la primera pesa, 100 g
  • Masa m2 de la segunda pesa, 200 g
  • Radio R, 30 cm.

Se pulsa el botón titulado Empieza, y se mide el tiempo que tarda la pesa en recorrer una determinada altura medida por la regla adjunta. Utilizar los botones titulados Pausa y Paso para acercarse a la altura deseada.

Se calcula el momento de inercia y se compara con la respuesta dada por el programa interactivo pulsando en el botón titulado Respuesta.

 

Tercera experiencia

  • Método: conservación de la energía

Comparando el estado inicial y final observamos que

rotaci3.gif (3185 bytes)
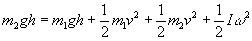
  • La pesa de masa m1 desciende una altura h1
  • La pesa de masa m2 asciende una altura h2
  • La pesa de masa m1 incrementa su velocidad en v1
  • La pesa de masa m2 incrementa su velocidad en v2
  • La rueda está girando con velocidad w

Formulamos el principio de conservación de la energía

Existe una relación entre h1 y h2, la misma que existe entre v1 y v2. Recordaremos que las magnitudes angulares son las mismas para todos los puntos del sólido en rotación mientras que las magnitudes lineales son proporcionales al radio.

  • v1=w  r1
  • v2=w  r2
  • h1=q  r1
  • h2=q  r2

w es la velocidad angular de la rueda y q es el ángulo girado en el tiempo t.

Dados los datos de h1, la altura que cae la pesa de masa m1 y el tiempo t que tarda en caer, y a partir de las medidas de los radios interior r2 y exterior r1 de la rueda podemos calcular, el momento de inercia I desconocido de la rueda, siguiendo los mismos pasos que en los ejercicios previos.

Completar la siguiente tabla  y despejar el momento de inercia desconocido

Altura h1  
Radio r1  
Radio r2  
Altura h2  
Tiempo t  
Velocidad v1  
Velocidad angular w  
Velocidad v2  
Masa m1 de la pesa 1  
Masa m2 de la pesa 2  
Momento de inercia I  

 

  • Método: dinámica

En la figura, se han dibujado el esquema de las fuerzas sobre los cuerpos que intervienen en el movimiento. A partir de este esquema formulamos las ecuaciones de la dinámica de cada uno de los cuerpos.

Primero determinamos el sentido del movimiento. No es suficiente con comparar las masas de los cuerpos m1 y m2. Es necesario comparar los momentos de sus pesos. Si m1g·r1>m2g·r2, el movimiento tendrá el sentido indicado en la figura. Si m1g·r1<m2g·r2, el movimiento tendrá sentido contario.

rotaci31.gif (2061 bytes) m1g-T1=m1a1

T2-m2g=m2a2

T1r1-T2r2=Ia

a1=a r1
a2=a r2

Como en los ejemplos anteriores, conocido el tiempo t que tarda en caer la pesa de masa m1 y la altura h1 desde la que cae, se determina la aceleración a1. Con los datos de los radios r1 y r2, se determina a y a2. A continuación T1, T2 y finalmente I.

Completar la siguiente tabla  y despejar el momento de inercia desconocido

Altura h1  
Altura h2  
Tiempo t  
Aceleración a1  
Radio r1  
Radio r2  
Aceleración angular a  
Aceleración a2  
Masa m1 de la pesa 1  
Masa m2 de la pesa 2  
Tensión de la cuerda T1  
Tensión de la cuerda T2  
Momento de inercia I  

Ejemplo:

Se introduce:

  • Masa m1 de la primera pesa, 150 g
  • Masa m2 de la segunda pesa 200 g.
  • Radio r2 interior, 20 cm

¿En qué sentido gira?

Se pulsa el botón titulado Empieza, y se mide el tiempo que tarda la pesa en recorrer una determinada altura medida por la regla adjunta. Utilizar los botones titulados Pausa y Paso para acercarse a la altura deseada.

Se pulsa el botón titulado Respuesta para comparar el momento de inercia calculado con el generado por el programa interactivo.

 

Actividades

Introducir los datos de los tres ejercicios en los controles del applet, y comprobar que los resultados obtenidos coinciden con los proporcionados por el programa interactivo.

En el applet también se muestra el balance energético mediante un diagrama de barras. A la izquierda, la energía cinética:

  • En color gris, la energía cinética de rotación del disco.
  • En color rojo, la energía cinética de la pesa roja
  • En color azul, la energía cinética de la pesa azul

A la derecha, la energía potencial de las pesas roja y azul representadas mediante barras de color rojo y azul, respectivamente.

stokesApplet aparecerá en un explorador compatible con JDK 1.1.