Conceptos básicos de Termodinámica

prev.gif (1231 bytes)home.gif (1232 bytes)next.gif (1211 bytes)

Física Estadística y Termodinámica

Termodinámica
marca.gif (847 bytes)Conceptos básicos
 de Termodinámica
Trasformaciones
termodinámicas
Indice adiabático
de un gas (I)
Indice adiabático
de un gas (II)
Indice adiabático
del aire
El soplo de la bomba 
atómica
Cohete propulsado
por un gas a presión
Oscilaciones de un
émbolo
Procesos 
cuasiestáticos
El ciclo de Carnot
Segundo principio
Proceso reversible (I)
Proceso reversible (II)
Aproximación al
equilibrio
Conceptos básicos

Trabajo mecánico hecho por o sobre el sistema.

El calor

Primera ley de la Termodinámica

Transformaciones

 

Los sistemas físicos que encontramos en la Naturaleza consisten en un agregado de un número muy grande de átomos.

La materia está en uno de los tres estados: sólido, líquido o gas: En los sólidos, las posiciones relativas (distancia y orientación) de los átomos o moléculas son fijas. En los líquidos, las distancias entre las moléculas son fijas, pero su orientación relativa cambia continuamente. En los gases, las distancias entre moléculas, son en general, mucho más grandes que las dimensiones de las mismas. Las fuerzas entre las moléculas son muy débiles y se manifiestan principalmente en el momento en el que chocan. Por esta razón, los gases son más fáciles de describir que los sólidos y que los líquidos.

El gas contenido en un recipiente, está formado por un número muy grande de moléculas, 6.02·1023 moléculas en un mol de sustancia. Cuando se intenta describir un sistema con un número tan grande de partículas resulta inútil (e imposible) describir el movimiento individual de cada componente. Por lo que mediremos magnitudes que se refieren al conjunto: volumen ocupado por una masa de gas, presión que ejerce el gas sobre las paredes del recipiente y su temperatura. Estas cantidades físicas se denominan macroscópicas, en el sentido de que no se refieren al movimiento individual de cada partícula, sino del sistema en su conjunto.

 

Conceptos básicos

estados.gif (899 bytes) Denominamos estado de equilibrio de un sistema cuando las variables macroscópicas presión p, volumen V, y temperatura T, no cambian. El estado de equilibrio es dinámico en el sentido de que los constituyentes del sistema se mueven continuamente.

El estado del sistema se representa por un punto en un diagrama p-V. Podemos llevar al sistema desde un estado inicial a otro final a través de una sucesión de estados de equilibrio.

Se denomina ecuación de estado a la relación que existe entre las variables p, V, y T. La ecuación de estado más sencilla es la de un gas ideal pV=nRT, donde n representa el número de moles, y R la constante de los gases R=0.082 atm·l/(K mol)=8.3143 J/(K mol).

Se denomina energía interna del sistema a la suma de las energías de todas sus partículas. En un gas ideal las moléculas solamente tienen energía cinética, los choques entre las moléculas se suponen perfectamente elásticos, la energía interna solamente depende de la temperatura.

 

Trabajo mecánico hecho por o sobre el sistema.

trabajo.gif (799 bytes) Consideremos, por ejemplo, un gas dentro de un cilindro. Las moléculas del gas chocan contra las paredes cambiando la dirección de su velocidad, o de su momento lineal. El efecto del gran número de colisiones que tienen lugar en la unidad de tiempo, se puede representar por una fuerza F que actúa sobre toda la superficie de la pared.

 

Si una de las paredes es un émbolo móvil de área A y éste se desplaza dx, el intercambio de energía del sistema con el exterior puede expresarse como el trabajo realizado por la fuerza F a lo largo del desplazamiento dx.

dW=-Fdx=-pAdx=-pdV

Siendo dV el cambio del volumen del gas.

El signo menos indica que si el sistema realiza trabajo (incrementa su volumen) su energía interna disminuye, pero si se realiza trabajo sobre el sistema (disminuye su volumen) su energía interna aumenta.

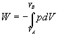
El trabajo total realizado cuando el sistema pasa del estado A cuyo volumen es VA al estado B cuyo volumen es VB.

 

El calor

El calor no es una nueva forma de energía, es el nombre dado a una transferencia de energía de tipo especial en el que intervienen gran número de partículas. Se denomina calor a la energía intercambiada entre un sistema y el medio que le rodea debido a los choques entre las moléculas del sistema y el exterior al mismo y siempre que no pueda expresarse macroscópicamente como producto de fuerza por desplazamiento.

Se debe distinguir también entre los conceptos de calor y energía interna de una sustancia. El flujo de calor es una transferencia de energía que se lleva a cabo como consecuencia de las diferencias de temperatura. La energía interna es la energía que tiene una sustancia debido a su temperatura, que es esencialmente a escala microscópica la energía cinética de sus moléculas.

El calor se considera positivo cuando fluye hacia el sistema, cuando incrementa su energía interna. El calor se considera negativo cuando fluye desde el sistema, por lo que disminuye su energía interna.

Cuando una sustancia incrementa su temperatura de TA a TB, el calor absorbido se obtiene multiplicando la masa (o el número de moles n) por el calor específico c y por la diferencia de temperatura TB-TA.

Q=nc(TB-TA)

Cuando no hay intercambio de energía (en forma de calor) entre dos sistemas, decimos que están en equilibrio térmico. Las moléculas individuales pueden intercambiar energía, pero en promedio, la misma cantidad de energía fluye en ambas direcciones, no habiendo intercambio neto. Para que dos sistemas estén en equilibrio térmico deben de estar a la misma temperatura.

 

Primera ley de la Termodinámica

La primera ley no es otra cosa que el principio de conservación de la energía aplicado a un sistema de muchísimas partículas. A cada estado del sistema le corresponde una energía interna U. Cuando el sistema pasa del estado A al estado B, su energía interna cambia en

DU=UB-UA

Supongamos que el sistema está en el estado A y realiza un trabajo W, expandiéndose. Dicho trabajo mecánico da lugar a un cambio (disminución) de la energía interna de sistema

DU=-W

También podemos cambiar el estado del sistema poniéndolo en contacto térmico con otro sistema a diferente temperatura. Si fluye una cantidad de calor Q del segundo al primero, aumenta su energía interna en

DU=Q

Si el sistema experimenta una transformación cíclica, el cambio en la energía interna es cero, ya que se parte del estado A y se regresa al mismo estado, DU=0. Sin embargo, durante el ciclo el sistema ha efectuado un trabajo, que ha de ser proporcionado por los alrededores en forma de transferencia de calor, para preservar el principio de conservación de la energía, W=Q.

  • Si la transformación no es cíclica DU¹ 0
  • Si no se realiza trabajo mecánico DU=Q
  • Si el sistema está aislado térmicamente DU=-W
  • Si el sistema realiza trabajo, U disminuye
  • Si se realiza trabajo sobre el sistema, U aumenta
  • Si el sistema absorbe calor al ponerlo en contacto térmico con un foco a temperatura superior, U aumenta.
  • Si el sistema cede calor al ponerlo en contacto térmico con un foco a una temperatura inferior, U disminuye.

Todo estos casos, los podemos resumir en una única ecuación que describe la conservación de la energía del sistema.

DU=Q-W

Si el estado inicial y final están muy próximos entre sí, el primer principio se escribe

dU=dQ-pdV

 

Transformaciones

La energía interna U del sistema depende únicamente del estado del sistema, en un gas ideal depende solamente de su temperatura. Mientras que la transferencia de calor o el trabajo mecánico dependen del tipo de transformación o camino seguido para ir del estado inicial al final.

Isócora o a volumen constante

isocora.gif (780 bytes) No hay variación de volumen del gas, luego

W=0

Q=ncV(TB-TA)

Donde cV es el calor específico a volumen constante

Isóbara o a presión constante

isobara.gif (773 bytes) W=p(vB-vA)

Q=ncP(TB-TA)

Donde cP es el calor específico a presión constante

Calores específicos a presión constante cP y a volumen constante cV

En una transformación a volumen constante dU=dQ=ncVdT

En una transformación a presión constante dU=ncPdT-pdV

Como la variación de energía interna dU no depende del tipo de transformación, sino solamente del estado inicial y del estado final, la segunda ecuación se puede escribir como ncVdT=ncPdT-pdV

Empleando la ecuación de estado de un gas ideal pV=nRT, obtenemos la relación entre los calores específicos a presión constante y a volumen constante

cV=cP-R

Para un gas monoatómico

Para un gas diatómico

La variación de energía interna en un proceso AB es DU=ncV(TB-TA)

Se denomina índice adiabático de un gas ideal al cociente

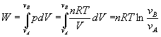
Isoterma o a temperatura constante

pV=nRT

La curva p=cte/V que representa la transformación en un diagrama p-Ves una hipérbola cuyas asíntotas son los ejes coordenados.

isoterma.gif (994 bytes)

DU=0

Q=W

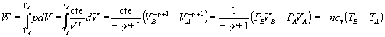
Adiabática o aislada térmicamente, Q=0

La ecuación de una transformación adiabática la hemos obtenido a partir de un modelo simple de gas ideal. Ahora vamos a obtenerla a partir del primer principio de la Termodinámica.

adiabatica.gif (1006 bytes) Ecuación de la transformación adiabática

Del primer principio dU=-pdV

Integrando

Donde el exponente de V se denomina índice adiabático g del gas ideal

Si A y B son los estados inicial y final de una transformación adiabática se cumple que

Para calcular el trabajo es necesario efectuar una integración similar a la transformación isoterma.

Como podemos comprobar, el trabajo es igual a la variación de energía interna cambiada de signo

Si Q=0, entonces W=-DU=-ncV(TB-TA)