Deducción de la ecuación de la transformación adiabática a partir de un modelo simple de gas ideal

prev.gif (1231 bytes)home.gif (1232 bytes)next.gif (1211 bytes)

Física Estadística y Termodinámica

Física Estadística
Teoría cinética de
los gases
marca.gif (847 bytes)Ecuación de la trans-
 formación adiabática.
Función de distribución
de Boltzmann (I) 
Función de distribución
de Boltzmann (II)  
Niveles discretos
de energía
Experimento de
Stern-Gerlach
Vibración de las
moléculas diatómicas
Modelo simple
de atmósfera
Distribución de las
velocidades de las
moléculas
Efusión de un gas
Un gas ideal contenido en un cilindro con un émbolo móvil

Un gas ideal formado por una sola partícula

Referencias

 

En esta página, vamos a deducir la ecuación de una transformación adiabática mediante dos modelos consistentes en un gas ideal contenido en un cilindro cerrado con un émbolo móvil.

  • El primer modelo, es similar al estudiado en la la página anterior,
  • El segundo, es es un gas ideal que consta de una sola partícula

 

Un gas ideal contenido en un cilindro con un émbolo móvil

En la deducción de la ley de los gases ideales a partir de los choques de las moléculas con las paredes del recipiente, hemos supuesto que el émbolo está fijo. De modo, que la molécula rebota cuando choca con el émbolo cambiando el signo de la componente X su velocidad.

Mediante un modelo simple, se han interpretado microscópicamente las magnitudes macroscópicas presión y temperatura. Los pasos han sido los siguientes:

  1. Se determina el cambio de momento lineal que experimenta una molécula cuando choca con el émbolo.
  2. Se determina el número de choques que experimentan las moléculas con el émbolo en la unidad de tiempo.
  3. Se calcula la fuerza que ejerce el émbolo sobre las moléculas del gas para producirles dicho cambio de momento lineal.
  4. Se relaciona la temperatura con la energía cinética media de las moléculas.

En la derivación de la ecuación de la transformación adiabática, no se emplea ni el primer principio ni la ecuación de estado de un gas ideal, solamente la relación entre energía cinética media de las moléculas del gas y su temperatura, es decir, la definición cinética de temperatura.

 

Choque de una molécula contra un émbolo móvil

Cuando un émbolo se mueve hacia la izquierda comprimiendo el gas encerrado en el recipiente, las moléculas que chocan contra el émbolo, como podemos ver en las sucesivas figuras, incrementan su velocidad a causa de su choque con una pared móvil.

cinetica1.gif (4993 bytes)

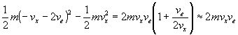
Cada molécula del gas cambia su velocidad en el choque contra el émbolo móvil desde vx a –vx-2ve.

Se supone que el émbolo no cambia de velocidad como resultado del choque con las moléculas ya que su masa M es muy grande comparada con la masa m de una molécula.

Deducción alternativa

cinetica.gif (1613 bytes)

Una partícula de masa m y velocidad vx choca elásticamente con un émbolo de masa M que se mueve con velocidad (–ve).

Conservación del momento lineal y la igualdad de la energía cinética antes y después del choque

Escribimos las dos ecuaciones en la forma equivalente

Despejando las incógnitas

Como la masa M del émbolo es muy grande comparado con masa m de la partícula

El émbolo no cambia de velocidad como resultado del choque con las moléculas ya que su masa M es muy grande comparada con la masa m de una molécula. Sin embargo, como el número de choques es muy grande, para que el émbolo se mantenga con velocidad constante es necesario ejercer una fuerza.

Mediante este mecanismo, el émbolo incrementa la energía de las partículas encerradas en el recipiente. La velocidad de desplazamiento del émbolo es muy pequeña comparada con la velocidad de las moléculas, la energía ganada por una molécula en su choque con el émbolo es rápidamente redistribuida entre las otras moléculas del gas, de modo que el gas está siempre en equilibrio.

Supongamos que el gas consiste en N partículas contenidas en el volumen cilíndrico de longitud L, tal como se muestra en la figura.

Si el gas tiene N partículas, el tiempo medio entre dos colisiones es

La ganancia de energía cinética que experimenta el gas en cada choque con el émbolo es

Hemos supuesto que la velocidad con la que se mueve el émbolo ve es mucho más pequeña que la velocidad promedio vx de las moléculas del gas.

 

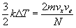
Incremento de la temperatura del gas durante la compresión

El incremento de energía cinética en cada choque se redistribuye entre todas las moléculas del gas. La energía media ganada por partícula es 2mvxve/N, y este incremento de energía se refleja en un incremento de temperatura

donde la velocidad de desplazamiento del émbolo es ve=-DL/Dt, el desplazamiento DL del émbolo que ocurre entre dos choques sucesivos Dt.

Introducimos el valor de Dt (tiempo medio entre dos colisiones) calculado en el apartado anterior.

Como hemos visto en la página anterior, las velocidades a lo largo del eje X no estarán relacionadas con las velocidades a lo largo del eje Y o Z, por tanto, < v2>=3< v2x>.

Como el término mv2 es el doble de la energía cinética media, expresándolo en función de la temperatura T, queda la relación

Finalmente, la relación entre las magnitudes macroscópicas volumen y temperatura es,

Integrando obtenemos la relación entre el volumen y la temperatura del gas ideal o bien, la relación entre la presión y el volumen

Para un gas monoatómico, los calores específicos son: cv=3R/2 y cp=cv+R=5R/2. De modo que g =cp/cv=5/3

La ecuación para una transformación adiabática es por tanto,

 

Un gas ideal formado por una sola partícula

En esta página, hemos deducido la ecuación de la transformación adiabática a partir de un modelo simple. El modelo consiste en un conjunto muy grande de partículas que se mueven en el interior del recipiente y chocan elásticamente con una pared móvil. Se han relacionado magnitudes microscópicas como el momento lineal y la energía cinética de las partículas con parámetros macroscópicas como la presión y la temperatura.

Movimiento de la partícula

Consideremos una partícula que se mueve libremente entre una pared fija situada en x=0, y una pared móvil situada inicialmente en la posición x0 en el instante t=0.

La pared móvil se mueve con velocidad constante u hacia la pared fija.

La posición de la pared móvil en el instante t es x=x0-u·t

Primer choque:

La partícula parte en el instante t=0, de la posición x0, y se mueve hacia la pared fija con velocidad constante v0. Choca con la pared fija cambiando el sentido de su velocidad y se dirige al encuentro de la pared móvil, que se produce en el instante t1.

La posición de la pared móvil en dicho instante es x1=x0-u·t1

Segundo choque:

Después del choque, la velocidad de la partícula es v1=v0+2u y se dirige hacia la pared fija. Choca con la pared fija, cambiando el sentido de su velocidad y se dirige al encuentro de la pared móvil, que se produce en el instante t2.

La posición de la pared móvil en dicho instante es x2=x0-u·t2

Tercer choque:

Después del choque, la velocidad de la partícula es v2=v1+2u=v0+2(2u) y se dirige hacia la pared fija. Choca con la pared fija, cambiando el sentido de su velocidad y se dirige al encuentro de la pared móvil, que se produce en el instante t3.

La posición de la pared móvil en dicho instante es x3=x0-u·t3

Choque n+1:

Después del choque n la velocidad de la partícula es vn=vn-1+2u=v0+n(2u) y se dirige hacia la pared fija. Choca con la pared fija, cambiando el sentido de su velocidad y se dirige al encuentro de la pared móvil, que se produce en el instante tn+1.

La posición de la pared móvil en dicho instante es xn+1=x0-u·tn+1

La velocidad de la partícula va creciendo, con el número n de choques, alcanzando el valor

vn =v0+2nu

El desplazamiento de la pared móvil entre dos choques sucesivos que se producen en los instantes tn y tn+1 es

De la formulación discreta a la continua.

El parámetro macroscópico observable es la posición x de la pared móvil o el volumen del recipiente que contiene la partícula. Expresaremos la fuerza que ejerce la pared sobre la partícula, el trabajo y la energía cinética de la partícula en función de x.

Como x es una función de n podemos escribir de forma aproximada

Separando variables e integrando

Despejando x

El desplazamiento Δx de la pared móvil durante el intervalo de tiempo entre dos choques consecutivos es

La posición x de la pared móvil es función del número de choques n. La velocidad de la partícula v es también función del número de choques n, v=v0+2nu. Podemos expresar la velocidad v de la partícula en función de la posición x de la pared móvil

Podemos expresar, igualmente el desplazamiento Δx en función de x

A partir de la expresión de x en función del número n de choques, despejamos n y derivamos respecto del tiempo.

Teniendo en cuenta que dx/dt=-u, la frecuencia f de los choques (número de choques en la unidad de tiempo) es

El incremento de la frecuencia entre los choques se debe a dos causas:

  • El incremento de la velocidad de la partícula después de cada choque en 2u

  • La disminución del camino que ha de recorrer la partícula

Trabajo de la fuerza F que ejerce la pared móvil

Antes del choque la velocidad de la partícula es –v

Después del choque la velocidad de la partícula es v+2u

El cambio de momento lineal en cada choque es  m(v+2u)-m(-v)=2m(u+v)

La fuerza F que ejerce la pared móvil se emplea en cambiar el momento lineal p de la partícula F=dp/dt. La fuerza F es el producto de la frecuencia de los choques por el cambio de momento lineal en cada choque.

El trabajo de la fuerza F cuando la pared móvil se desplaza Δx es

 

La variación de energía cinética en un choque es

El trabajo de de la fuerza F se invierte en incrementar la energía cinética de la partícula.

-F·ΔxEk

Relación entre las magnitudes microscópicas y los parámetros macroscópicos.

La energía cinética está relacionada con la temperatura, la fuerza con la presión y la posición de la pared móvil con el volumen del recipiente. Sustituimos:

  • La presión p por la fuerza F

  • El desplazamiento Δx por la variación de volumen dV

  • El incremento de la energía cinética ΔEk por la variación de la temperatura dT del sistema de partículas

-p·dV=k·dT

La ecuación de estado de los gases ideales relaciona, presión p, el volumen V y temperatura absoluta T.

Integrando miembro a miembro, obtenemos la ecuación de una transformación adiabática.

donde γ al igual que k son constantes.

Actividades

Se introduce

  • La velocidad u de la pared móvil, actuando en la barra de desplazamiento titulada Velocidad pared móvil
  • La velocidad inicial v0=1 de la partícula, se ha fijado en el programa interactivo
  • La posición inicial x0=1 de la pared móvil también se ha fijado

Se pulsa en el botón titulado Empieza

Se observa el movimiento de la partícula. En la parte superior izquierda, se proporciona el dato de la velocidad v de la partícula en cada instante t.

En la parte superior del applet, se representan en dos gráficas la velocidad v de la partícula en función de la posición x del émbolo móvil.

  • En color rojo, el movimiento real.
  • En color azul, la aproximación continua dada por la fórmula

 

Referencias

Miranda E. N. Adiabatic reversible compression: a molecular view. Eur. J. Phys. 23 (2002), pp. 389-393

Vermillon, R. Compresing a classical particle in a 1-D box. Am. J. Phys. 40, September 1978, pp. 1340-1342