Física Estadística y Termodinámica |
Termodinámica Conceptos básicos de Termodinámica Trasformaciones termodinámicas Indice adiabático de un gas (I) Indice adiabático de un gas (II) Indice adiabático del aire El soplo de la bomba atómica Cohete propulsado por un gas a presión Oscilaciones de un émbolo Procesos cuasiestáticos El ciclo de Carnot
Proceso reversible (I) Proceso reversible (II) Aproximación al equilibrio |
Enunciados
de Clausius y Kelvin-Planck Equivalencia entre los enunciado de Clausius y de Kelvin-Planck |
|||
| El Primer Principio no es suficiente para definir la Termodinámica, por lo que el Segundo Principio impone una condición adicional a los procesos termodinámicos. Así, según el primer principio, el motor de un barco podría tomar el calor del mar para moverlo, situación que es completamente imposible. Esta imposibilidad viene definida por dos enunciados equivalentes.
Enunciados de Clausius y Kelvin-Planck
Equivalencia entre el enunciados de Clausius y de Kelvin-PlanckLas dos figuras que vienen a continuación nos muestran de forma gráfica la equivalencia de los enunciados de Clausius y de Kelvin-Planck. El conjunto de una máquina que transfiera calor del foco frío al caliente (Clausius) combinado con un motor nos dan como resultado una máquina que absorbe calor de una sola fuente y lo transforma íntegramente en trabajo (Kelvin-Planck).
El conjunto de una máquina frigorífica con un móvil perpetuo (Kelvin-Planck) da lugar a una máquina que absorbe calor de una fuente fría y lo cede a una fuente caliente sin que se aporte trabajo (Clausius)
Límite en el rendimiento de un motor realTodas las máquinas que funcionan reversiblemente entre los mismos focos tienen el mismo rendimiento térmico, cuya fórmula hemos obtenido en el estudio del ciclo de Carnot y que como hemos visto, depende únicamente del cociente entre las temperaturas del foco frío T2 y del foco caliente T1. En la figura, se demuestra que no puede existir un motor cuyo rendimiento sea mayor que el de Carnot operando entre las misma temperaturas. Dicho motor hipotético absorbe un calor Q'1 del foco caliente, realiza un trabajo W' y cede un calor Q2 al foco frío. Parte de dicho trabajo W se emplea en accionar un frigorífico que absorbe un calor Q2 del foco frío y cede un calor Q1 al foco caliente. Como podemos apreciar en la figura la combinación del motor hipotético de mayor rendimiento que el de Carnot con un frigorífico da lugar a la imposibilidad enunciada por Kelvin-Planck
|

| El rendimiento de la
máquina ideal de Carnot (recuérdese que Q2<0 es calor cedido)
es
El rendimiento de una máquina real hipotética es
Si El rendimiento de un motor de Carnot es el valor límite que teóricamente alcanzaría la máquina reversible, de forma que el rendimiento térmico de una maquina real es inferior a ese límite.
Concepto de entropía
En un ciclo reversible de Carnot siempre se cumple
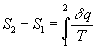
Si los ciclos son infinitesimales, entonces
Se define entropía como una función de estado y por lo tanto, la variación de entropía a lo largo de un camino cerrado es 0
Las variaciones de entropía en la transformación 1-2 es
Si la temperatura T es constante, la variación de entropía es el cociente entre el calor y la temperatura.
En un ciclo reversible, la variación de entropía es cero. En todo proceso irreversible la variación de entropía es mayor que cero. Hemos obtenido una fórmula que nos permite calcular las variaciones de entropía, su interpretación la hemos proporcionado en una simulación de la tendencia hacia el estado de equilibrio de un sistema aislado de partículas interactuantes. La Segunda ley afirma que la entropía de un sistema aislado nunca puede decrecer. Cuando un sistema aislado alcanza una configuración de máxima entropía, ya no puede experimentar cambios: ha alcanzado el equilibrio.
Variaciones de entropía en procesos irreversiblesPara calcular las variaciones de entropía de un proceso real (irreversible) hemos de recordar que la entropía (como la energía interna) depende solamente del estado del sistema. Una variación de entropía cuando el sistema pasa de un estado A a otro B de equilibrio depende solamente del estado inicial A y del estado final B. Para calcular la variación de entropía ΔS de un proceso irreversible entre dos estados de equilibrio, imaginamos un proceso reversible entre el estado inicial A y el estado final B y calculamos para este proceso
Como veremos en los ejemplo, la variación de entropía ΔS es siempre positiva para el sistema y sus alrededores en un proceso irreversible. La entropía de un sistema aislado que experimenta un cambio siempre se incrementa. En un proceso reversible la entropía del sistema aislado permanece constante. Conducción térmica En el proceso de conducción del calor, el sistema está formado por un foco caliente a la temperatura Ta conectado mediante una barra a un foco frío a la temperatura Tb. La barra hecha de un material conductor del calor está perfectamente aislada. Se transfiere a través de la barra una cantidad de calor Q del foco caliente al foco frío. Como el foco frío absorbe calor, su entropía aumenta en Q/Tb. Al mismo tiempo, como el foco caliente pierde calor su variación de entropía es -Q/Ta Como Ta>Tb, la variación de entropía del sistema formado por la barra y los dos focos es positivo
Cambio de estado
Un sólido cuyo calor de fusión es Lf funde a la temperatura Tf. Calcular la variación de entropía cuando una masa m de sólido funde. En el proceso de cambio de estado una sustancia absorbe una cantidad de calor mLf manteniendo la temperatura constante Tf
Calorímetro de mezclas
En un calorímetro de mezclas, una sustancia de masa m1 y calor específico c1 y temperatura inicial T1 se coloca en contacto con una segunda sustancia de masa m2, calor específico c2 y temperatura inicial T2>T1. Las dos sustancias se colocan en un calorímetro de modo que forman ambas un sistema aislado. Una vez que alcanzan el equilibrio térmico a la temperatura Te vamos a calcular la variación de entropía. La sustancia que inicialmente tiene la temperatura mas alta cede calor a la sustancia que inicialmente tiene temperatura más baja, la primera disminuye su temperatura, la segunda la aumenta hasta que ambas alcanzan el equilibrio a la temperatura Te. m1·c1·(Te-T1)+m2·c2·(Te-T2)=0
El proceso es irreversible por que el sistema evoluciona desde el estado inicial al final a través de una serie de estado de no equilibrio. Para calcular la variación de entropía, podemos imaginar que la sustancia que tiene la temperatura más alta T1 se enfría hasta una temperatura Te poniéndola en contacto sucesivamente con focos de calor que difieren infinitesimalmente en temperatura, el primer foco tiene una temperatura T2 y el último Te. Podemos imaginar un proceso similar para la sustancia inicialmente a menor temperatura T2. El calor absorbido o cedido en un cambio infinitesimal de temperatura es dQ=mcdT
Como Te>T1 el primer término es positivo, y como Te<T2 el segundo término es negativo, el resultado final es que ΔS>0
Expansión de un gas
Consideremos la expansión adiabática de un gas ideal que ocupa inicialmente un volumen V1. Se rompe la membrana que separa el gas de la región en la que se ha hecho el vacío, el gas se expande irreversiblemente hasta ocupar un volumen V2. El trabajo realizado por el gas es cero W=0, y ya que las paredes del recipiente son aislantes, no se transfiere energía hacia el exterior, Q=0 Como la energía interna no cambia ΔU=0, la temperatura no cambia, ya que la energía interna de un gas ideal solamente depende de la temperatura T. Para calcular la variación de entropía, podemos imaginar un proceso reversible isotérmico a la temperatura T en la que el gas empuje muy despacio el émbolo mientras la energía entra en el gas procedente de un foco de calor para mantener la temperatura constante.
En un proceso isotérmico, no hay variación de energía interna, el primer principio implica que el calor absorbido es igual al trabajo realizado por el gas durante su expansión de V1 a V2. dQ=dW=pdV
Como V2>V1 se concluye que ΔS>0
|