Cohete propulsado por un gas a presión

prev.gif (1231 bytes)home.gif (1232 bytes)next.gif (1211 bytes)

Física Estadística y Termodinámica

Termodinámica
Conceptos básicos
de Termodinámica
Trasformaciones
termodinámicas
Indice adiabático
de un gas (I)
Indice adiabático
de un gas (II)
Indice adiabático
del aire
El soplo de la bomba 
atómica
marca.gif (847 bytes)Cohete propulsado
por un gas a presión
Oscilaciones de un
émbolo
Procesos 
cuasiestáticos
El ciclo de Carnot
Segundo principio
Proceso reversible (I)
Proceso reversible (II)
Aproximación al
equilibrio
java.gif (886 bytes)Mecanismo básico

Análisis del problema

java.gif (886 bytes)Actividades

 

Sea un recipiente cilíndrico, situado en el vacío, con un émbolo que se puede desplazar sin rozamiento en su interior. Se fija el émbolo y el recinto se llena de gas a alta presión. Se libera el émbolo, el gas se expansiona y el recipiente se empieza a mover.

En esta página, vamos a analizar un problema que comprende varias partes de la Física: la conservación del momento lineal, el balance energético, una transformación termodinámica, y nociones básicas de física estadística. Relacionaremos la temperatura del gas con la energía cinética media referida al c.m. de gas que se mueve.

 

Mecanismo básico

En primer lugar, vamos a estudiar el mecanismo básico. Un conjunto de N partículas que simulan un gas ideal bidimensional, está encerrado en un recipiente.

El usuario define el gas introduciendo los valores de

  • la masa de las partículas,
  • la velocidad media (proporcional a la raíz cuadrada de la temperatura)
  • el número total N de partículas.

Cuanto mayor es el número de partículas menor es el grado de fluctuación, aunque al programa interactivo le lleva más tiempo calcular las posiciones y velocidades de cada una de las partículas.

Cuando el recipiente está cerrado, las partículas chocan elásticamente con las cuatro paredes del recipiente. Si despreciamos las fluctuaciones, el recipiente no se mueve a consecuencia de los choques ya que la fuerza media sobre las paredes opuestas tiene el mismo módulo, la misma dirección y sentido contrario.

Choques entre las moléculas del gas y las paredes del recipiente.

gas_8.gif (1823 bytes) Si eliminamos una de las paredes del recipiente. Los choques de las partículas con la pared opuesta hace que el recipiente se mueva. Sin embargo, el centro de masas del conjunto formado por el recipiente y el gas no cambia, por ser un sistema aislado inicialmente en reposo.

Podemos comprobar, que aproximadamente, un cuarto de las partículas se mueve en la dirección del eje X hacia la derecha y estas son las partículas que proporcionan momento lineal al recipiente.

gas_1.gif (2139 bytes)

Sea mp la masa de las partículas y up su velocidad antes del choque, y sea mc la masa del recipiente y uc su velocidad antes del choque. Las ecuaciones del conservación del momento lineal y de la energía cinética antes y después del choque elástico nos proporcionan dos ecuaciones de las cuales despejamos las velocidades vp y vc de de la partícula y del cilindro después del choque.

Para simular las colisiones de las moléculas de un gas con las paredes del recipiente, se utiliza un modelo de gas ideal bidimensional. Dada la velocidad media de las moléculas del gas, el programa interactivo emplea los métodos de Montecarlo, para asignar un valor al módulo de la velocidad a cada una de las N moléculas de acuerdo con la fórmula de la distribución de velocidades. La dirección de la velocidad se asigna mediante un número aleatorio uniformemente distribuido en el intervalo 0- 2p .

 

Actividades

Se introduce

  • La masa del recipiente, mc en el control de edición titulado Masa recipiente
  • La masa de cada partícula del gas, mp en el control de edición titulado Masa partícula
  • La velocidad media de las partículas del gas, <v>, en el control de edición titulado Velocidad media p.
  • El número de partículas que componen el gas, N, en el control de edición titulado Número partículas

Se pulsa en el botón titulado Empieza.

Desaparece la tapa izquierda del recipiente. Se observa el movimiento de las partículas, su colisión con la pared derecha del recipiente y el movimiento del recipiente hacia la derecha con velocidad creciente.

El centro de masas del sistema formado por el gas y por el recipiente no cambia (sistema aislado).

Por la conservación del momento lineal a lo largo del eje X tendremos

mg<vg>+mcvc=0

donde mg=N·mp es la masa del gas, <vg> su velocidad media a lo largo del eje X, (a lo largo del eje Y su velocidad media es cero), mc es la masa del recipiente y vc la velocidad del recipiente en un instante dado.

gas_2.gif (1971 bytes)

Si la masa del gas mg es igual a la masa del recipiente mc los centros de masas son equidistantes con la posición del c.m. del sistema aislado. Si son distintos las distancias son inversamente proporcionales a las masas

mgxg+mcxc=0

 

                 
 

Análisis del problema

gas_6.gif (2356 bytes) Sea un cilindro de radio r y de longitud d, que tiene un émbolo fijado en la posición inicial z0. Se llena de aire hasta una presión inicial p0 mediante una bomba de bicicleta o dispositivo similar. Se suelta el émbolo y el gas se expande. Se trata de analizar el movimiento del cilindro en dos etapas distintas:
  • Durante la expansión (supuesta adiabática) del gas hasta que el émbolo sale del cilindro.
  • A continuación, el cilindro es empujado por los choques de las moléculas contra su pared izquierda.

Sistema aislado formado por tres componentes

Tenemos que estudiar un sistema aislado formado por tres componentes:

  • El cilindro de masa mc
  • El gas contenido en el recipiente de masa mg, que supondremos uniformemente distribuido en el volumen que ocupa.
  • El émbolo de masa me.

gas_3.gif (2673 bytes)

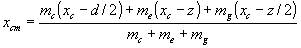
Comparamos la situación inicial a la izquierda de la figura (la posición del émbolo en el cilindro es z0) , y la situación en el instante t en la que el émbolo se ha movido a la posición z en el interior del cilindro.

Podemos relacionar la posición z del émbolo en el interior del cilindro con la posición xc del cilindro.

Calculemos la posición del c.m. del sistema aislado en el instante inicial y en el instante t.

El sistema aislado estaba inicialmente en reposo, su centro de masa no habrá cambiado de posición.

La relación entre la posición del cilindro xc y la del émbolo z en el interior del cilindro es

La velocidad del c.m. del sistema aislado es cero

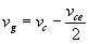
gas_4.gif (1453 bytes) La velocidad del émbolo ve es igual a la velocidad del cilindro vc más la velocidad del émbolo respecto del cilindro vce.

ve=vc-vce

La velocidad del c.m. del gas es justamente la mitad de la velocidad del émbolo en el interior del cilindro, ya que si el émbolo se desplaza de z0 a z en el tiempo t, el centro de masa del gas se desplaza de z0/2 a z/2 en el mismo tiempo. Por tanto,

Teniendo en cuenta que vcm=0, relacionamos la velocidad del cilindro vc con la velocidad del émbolo en el interior del cilindro vce.

Como vemos es la misma relación que entre la posición xc del cilindro y el desplazamiento del émbolo en el interior del cilindro z-z0.

Expresamos las velocidades del émbolo ve y del gas vg en función de la velocidad del cilindro vc, todas ellas medidas respecto del Sistema de Referencia del Laboratorio.

 

Expansión adiabática del gas ideal

El cilindro está en el vacío, cerrado por un émbolo fijo situado en la posición z0, se conecta a una bomba de bicicleta que tiene las siguientes dimensiones: 20 cm de largo y 5 cm de diámetro, su volumen en litros es Vb=p 0.052·0.2·1000/4=0.393 l. Cada vez que se acciona la bomba se introducen en el cilindro nb moles de gas

La presión inicial del gas en el cilindro después de accionar N veces la bomba será

p0V0=( N·nb)RT0

Se libera el émbolo y el gas se expande muy rápidamente (supondremos una transformación adiabática), hasta que el émbolo alcanza la posición z=d, (se sale fuera del cilindro). El volumen final será por tanto

V=p r2d

Calculamos la presión final p y la temperatura final T.

Para un gas diatómico los calores específicos valen

cv=5R/2, cp=cv+R=7R/2, índice adiabático g =cp/cv=7/5.

gas_7.gif (2565 bytes) La presión final p se calcula a partir de la ecuación de la adiabática pVg =cte

la temperatura final se calcula a partir de p y V

o bien, a partir de la ecuación de la adiabática expresada en términos de T y V.

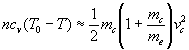
Balance energético

Al expandirse adibáticamente el gas ideal su temperatura disminuye y por tanto, su energía interna también disminuye. Esta energía se convierte en energía cinética del cilindro, del émbolo y del centro de masas del gas.

La variación de energía interna DU de un gas ideal se calcula mediante la fórmula

DU=ncv(T-T0)

n es el número de moles del gas y cv es el calor específico a volumen constante, y T-T0 la variación de temperatura. Como T<T0 la energía interna disminuye.

La expresión el balance energético del sistema aislado de tres componentes nos queda de la siguiente forma

Si la masa del gas mg es mucho más pequeña que la masa del émbolo me y del cilindro mc esta expresión se simplifica

La velocidad del cilindro vc es independiente del gas que lo contiene.

A partir de esta ecuación, calculamos la velocidad del cilindro vc, la del émbolo ve y la del c. m. del gas vg.

 

Choque de las moléculas del gas con el cilindro.

Una vez que el émbolo sale del cilindro, las moléculas del gas chocan con la pared derecha del cilindro dándole un empuje adicional tal como hemos visto en la primer apartado de esta página.

La velocidad media de las moléculas del gas vm está relacionada con su temperatura mediante la fórmula

donde M es la masa molecular del gas ideal

gas_9.gif (1964 bytes) Supondremos que por término medio 1/6 de las moléculas se mueven a lo largo del eje X hacia la derecha con la misma velocidad vm relativa al centro de masas del gas.

Las moléculas que chocan con la tapa derecha del cilindro tienen una velocidad vm+vg respecto del Sistema de Referencia del Laboratorio.

Si suponemos además, que el choque es elástico la velocidad final del cilindro v’c será.

 

Ejemplo

Supongamos que la posición inicial del émbolo z0=15 cm, y que accionamos N=6 veces la bomba de bicicleta. Liberamos el émbolo de su posición inicial. Se pide calcular la velocidad del cilindro cuando el émbolo llega al final de su recorrido, y la velocidad final del cilindro teniendo en cuanta el impulso adicional debido al choque de las moléculas del gas con su tapa derecha.

Datos:

  • Las dimensiones del cilindro son: diámetro 10 cm, longitud 50 cm.
  • Las dimensiones de la bomba son 5 cm de diámetro y 20 cm de longitud.
  • La masa del émbolo me=0.3 kg
  • La masa del cilindro mc=0.6 kg
  • La temperatura ambiente es de 27º C o de T0=300 K.
  • Gases diatómicos
Gas Peso molecular M (g)
Helio 4.0
Neón 20.2
CO2 44.0
O2 32.0
N2 14.0
  • Calor específico a volumen constante cv=5R/2
  • Constante de los gases R=0.082 atm·litro/(K·mol)=8.314 J/(K·mol)
  1. Volumen de la bomba

Vb=p 0.052·0.2·1000/4=0.393 l.

Número de moles de gas en la bomba

  1. Volumen inicial del cilindro

V0=p r2z0=p ·0.12·0.15·1000/4=1.178 litros

Presión inicial p0 del gas en el cilindro después de accionar N=6 veces la bomba

p0V0=(N·nb)RT0

p0=2 atm

  1. Expansión adiabática

El volumen final es V=p r2d=p ·0.12·0.5·1000/4=3.927 litros

La presión final p=0.371 atm, y la temperatura final T=185.3 K.

La variación de energía interna es

DU=ncv(T-T0)=0.096·(5/2)·8.314·(185.3-300)=-228. 9 J

  1. Aplicando la ecuación del balance energético del sistema aislado de tres componentes, obtenemos la velocidad del cilindro.

La masa del gas es muy pequeña comparada con la masa del émbolo o del cilindro. La masa de Helio es mg=n·M/1000=0.096·4/1000=3.832·10-4 kg

  1. Velocidad del émbolo

La velocidad del émbolo respecto del cilindro es vce=-31.85-15.93=-47.78 m/s

  1. Velocidad del centro de masa del gas helio

velocidad media de las moléculas de Helio

Esta velocidad es mucho mayor que la del c.m. del gas vm>>vg

  1. Calculamos la velocidad final del cilindro

Suponiendo que 1/6 de las moléculas de helio chocan con la tapa derecha del cilindro. La velocidad de las moléculas es igual a la velocidad de su c.m. vg más la velocidad vm relativa al c.m. del gas.

El tiempo que tardan en chocar todas las moléculas el gas con la tapa derecha del cilindro es

donde d es la longitud del cilindro, y el denominador es la velocidad de las moléculas relativa al cilindro.

t=4.76·10-4 s

  1. La velocidad con la que retroceden las moléculas del gas, se calcula mediante la fórmula

Ejemplo:

Si elegimos CO2, mg=0.096·44/1000=4.215·10-3 kg.

  1. La velocidad del cilindro en el momento en que sale el émbolo es

vc=15.96 m/s

  1. Velocidad del émbolo

ve=-31.81 m/s

La velocidad del émbolo respecto del cilindro es vce=-31.81-15.96=-47.77 m/s

  1. En el caso del CO2 la velocidad media de las moléculas del gas es más pequeña al ser mayor la masa de sus moléculas.

vm=324.1 m/s.

  1. La velocidad final del cilindro será

vc=16.66 m/s

  1. La velocidad de retroceso del gas en su choque con la tapa derecha del cilindro es

v’g=-296.3 m/s

 

Actividades

Se introduce

  • El gas diatómico en el control de selección titulado Gases
  • La masa del cilindro mc, en el control de edición titulado Masa cilindro
  • La masa del émbolo me, en el control de edición titulado Masa émbolo
  • La posición inicial del émbolo z0. actuando en la barra de desplazamiento titulada Pos. émbolo

Se pulsa el botón titulado Nuevo

Se pulsa varias veces el botón titulado Llenar gas, para llenar el cilindro de gas comprimido.

En la gráfica situada en la parte superior derecha del applet veremos un punto en el diagrama pV que señala la presión, el volumen y la temperatura inicial del gas en el recipiente.

Se pulsa el botón titulado Empieza.

El gas se expansiona adiabáticamente, podemos ver la transformación en el gráfico pV. También observamos cómo la temperatura disminuye. A su vez el émbolo y el cilindro se mueven en sentidos contrarios.

Cuando el émbolo sale del cilindro, el gas sigue empujándolo hasta que un sexto (en promedio) de las moléculas del gas han chocado con la tapa derecha del recipiente.

Apuntar los datos de la velocidad final del cilindro y compararlos con los cálculos realizados tomando como modelo el ejemplo.