Conducción del calor (I)

prev.gif (997 bytes)home.gif (1232 bytes)next.gif (1211 bytes)

Fenómenos de transporte

Conducción del calor
marca.gif (847 bytes)Conducción del calor
Conducción del calor (II)
Conducción del calor (III)
Medida de la 
conductividad térmica
Ondas térmicas
Simulación de la
conducción
 
Ley de Fourier

java.gif (886 bytes) Solución analítica

Solución numérica

Referencias

 

Ley de Fourier

Sea J la densidad de corriente de energía (energía por unidad de área y por unidad de tiempo), que se establece en la barra debido a la diferencia de temperaturas entre dos puntos de la misma. La ley de Fourier afirma que hay una proporcionalidad entre el flujo de energía J y el gradiente de temperatura.

Siendo K una constante característica del material denominada conductividad térmica.

Conduc_1.gif (2406 bytes)

Consideremos un elemento de la barra de longitud dx y sección S. La energía que entra en el elemento de volumen en la unidad de tiempo es JS, y la que sale es J’S. La energía del elemento cambia, en la unidad de tiempo, en una cantidad igual a la diferencia entre el flujo entrante y el flujo saliente.

Esta energía, se emplea en cambiar la temperatura del elemento. La cantidad de energía absorbida o cedida (en la unidad de tiempo) por el elemento es igual al producto de la masa de dicho elemento por el calor específico y por la variación de temperatura.

Igualando ambas expresiones, y teniendo en cuenta la ley de Fourier, se obtiene la ecuación diferencial que describe la conducción térmica

 

Solución analítica

Supongamos una barra metálica de longitud L, conectada por sus extremos a dos focos de calor a temperaturas Ta y Tb respectivamente. Sea T0 la temperatura inicial de la barra cuando se conectan los focos a los extremos de la barra.

Conduc_2.gif (959 bytes)

Al cabo de cierto tiempo, teóricamente infinito, que en la práctica depende del tipo de material que empleamos, se establece un estado estacionario en el que la temperatura de cada punto de la barra no varía con el tiempo. Dicho estado está caracterizado por un flujo J constante de energía. La ley de Fourier establece que la temperatura variará linealmente con la distancia x al origen de la barra.

Para describir el estado transitorio buscamos una solución de la forma T(x, t)=F(xG(t), variables separadas

El signo negativo asegura el carácter transitorio.

Integramos la primera ecuación diferencial

Integramos la segunda ecuación diferencial

Es una ecuación diferencial similar a la de un MAS, cuya solución es a·sen(ωr+δ)

La temperatura en cualquier punto x a lo largo de la barra, en un instante determinado, T(x, t) es la solución de la ecuación diferencial, que es una combinación de dos términos, la que corresponde al régimen permanente más la del régimen transitorio.

Condiciones de contorno

  • En x=0, T(0, t)=Ta, temperatura fija del extremo izquierdo de la barra

  • En x=L, T(L, t)=Tb, temperatura fija del extremo derecho de la barra

El régimen variable general de temperaturas de la barra es

Distribución inicial de temperaturas

Solamente, queda por determinar los coeficientes an, identificando esta solución con la distribución inicial de temperaturas en la barra T(x, 0)=T0 en el instante t=0.

Más abajo, se proporcionan los detalles del cálculo de los coeficientes an del desarrollo en serie al lector interesado.

La temperatura en cualquier punto de la barra x, en un instante t, se compone de la suma de un término proporcional a x, y de una serie rápidamente convergente que describe el estado transitorio.

El valor de α=K/(ρc) nos da una medida de la rapidez con la que el sistema alcanza el estado estacionario. Cuanto mayor sea α antes se alcanza el estado estacionario

Actividades

En este programa, estudiaremos la conducción del calor a lo largo de una barra metálica cuyos extremos están conectados a dos focos de calor que tienen distintas temperaturas. Observaremos la evolución de la temperatura de cada punto de la barra a medida que transcurre el tiempo.

Examinaremos los factores que determinan la conducción del calor a lo largo de una barra metálica, probando barras de distintos materiales, con distintas temperaturas fijas de los extremos e inicial de la barra.

Metal Densidad Calor específico Conductividad térmica

α

Aluminio 2700 880 209.3 8.81·10-5
Acero 7800 460 45 1.25·10-5
Cobre 8900 390 389.6 11.22·10-5
Latón 8500 380 85.5 2.65·10-5
Plata 10500 230 418.7 17.34·10-5
Plomo 11300 130 34.6 2.35·10-5

Fuente: Koshkin N. I., Shirkévich M. G.. Manual de Física Elemental. Editorial Mir 1975. págs 36, 74-75, 85-86

Se introduce, moviendo las flechas de color azul con el puntero del ratón

  • La temperatura fija en el extremo izquierdo de la barra Ta.
  • La temperatura fija en el extremo derecho de la barra Tb.
  • La temperatura inicial de la barra T0.
  • La longitud de la barra metálica se ha fijado en el valor de L=0.5 m.

Se pulsa el botón titulado Nuevo

  • El instante t, en minutos, en el que queremos representar la distribución de temperaturas a lo largo de la barra, en el control de edición o actuando en la barra de desplazamiento titulada Tiempo.

Se pulsa en el botón titulado Gráfica.

El programa interactivo representa la distribución de temperaturas a lo largo de la barra, en el instante actual (en color rojo), y en el instante previamente introducido (en color azul).

Cuestiones:

  • Examinar la evolución de la distribución de temperaturas con el tiempo. Comprobar que el régimen estacionario es independiente de la temperatura inicial, solamente depende de la temperatura de los focos frío y caliente.
  • Examinar el comportamiento de barras hechas de distintos materiales, con la misma temperatura inicial y fijas en los extremos.
TermicoApplet3 aparecerá en un explorador compatible con JDK 1.1.

Arrastrar con el puntero del ratón las flechas de color azul

                    
 

Cálculo de los coeficientes del desarrollo en serie an

La parte derecha de la igualdad es el desarrollo en serie de una función f(x) impar, ya que carece del término independiente y de los términos en coseno. El periodo de f(x) es 2L y se extiende desde –L a +L tal como se muestra en la figura.

Multiplicamos ambos miembros por sen(mπx/L) e integramos entre –L y +L

Efectuamos el cambio de variable zx/L, dz= πdx/L

(1)

Integramos por partes la integral que aparece en el segundo miembro

Volvemos a integrar por partes

Cuando m=n

La expresión (1) se simplifica notablemente

Supongamos que la temperatura inicial de la barra en todos sus puntos es la misma T(x, 0)=T0, la función f(x) es lineal

Calculamos los coeficientes an del desarrollo en serie de Fourier

Finalmente,

 

Solución numérica

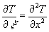
Para simplificar, tomemos una escala de tiempos tal que x=a2t, la ecuación diferencial que describe la conducción térmica se transforma en otra más sencilla.

La solución de la ecuación diferencial en derivadas parciales puede obtenerse utilizando el procedimiento de redes del siguiente modo

 

 

 

T

i

e

m

p

o

Ta                             Tb
Ta                             Tb
Ta                             Tb
Ta                             Tb
Ta                             Tb
Ta                             Tb
Ta                             Tb
Ta                             Tb
Ta                             Tb
Ta                             Tb
Ta T0 T0 T0 T0 T0 T0 T0 T0 T0 T0 T0 T0 T0 T0 Tb
P o s i c i ó n

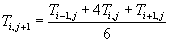
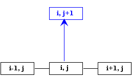
Consideremos un sistema de coordenadas posición – tiempo (x en el eje horizontal y x en el vertical). Construyamos un retículo trazando rectas paralelas al eje x equidistantes un intervalo fijo h y tal que h=L/n, siendo L la longitud de la barra y n el número de intervalos en los que se ha dividido la barra. Tracemos rectas paralelas al eje X, equidistantes una cantidad k.

Conduc_3.gif (1811 bytes) Podemos calcular la temperatura en los puntos de la barra x=ih (i=1, 2, 3, 4...n) y en el instante x=(j+1)k, a partir de los datos de la temperatura de la barra en los puntos x de la barra en el instante anterior x=jk (j=0, 1, 2, 3...) sin más que aplicar el procedimiento de recurrencia esquematizado en la figura, y cuya fórmula es

La distribución inicial de partida (j=0) está dada por la temperatura inicial de la barra T0, y las temperaturas fijas en los extremos Ta y Tb a partir de las cuales y aplicando la fórmula de recurrencia, puede calcularse, sucesivamente, las temperaturas de cada una de los puntos de la malla (i, j).

Para practicar este método con una calculadora o con un pequeño programa de ordenador, se puede seguir el siguiente procedimiento:

  1. Constrúyase una tabla como la indicada y rellénese la columna izquierda, la columna derecha y la fila inferior con las temperaturas fijas en el extremo izquierdo de la barra Ta, del extremo derecho de la barra Tb, y con la temperatura inicial T0.
  1. Completar la primera fila vacía aplicando la fórmula de recurrencia. Las cifras obtenidas corresponden a la distribución de temperatura en un instante posterior al inicial.
  1. A partir de los datos de la primera fila, completar la segunda fila vacía, y así sucesivamente.

Referencias

Puig Adam P., Curso teórico-práctico de ecuaciones diferencias aplicado a la Física y Técnica. Biblioteca Matemática (1950), págs. 300-303