La ley de distribución de las velocidades moleculares

prev.gif (1231 bytes)home.gif (1232 bytes)next.gif (1211 bytes)

Física Estadística y Termodinámica

Física Estadística
Teoría cinética de
los gases
Ecuación de la trans-
formación adiabática.
Función de distribución
de Boltzmann (I) 
Función de distribución
de Boltzmann (II)   
Niveles discretos
de energía
Experimento de
Stern-Gerlach
Vibración de las
moléculas diatómicas
Modelo simple
de atmósfera
marca.gif (847 bytes)Distribución de las
  velocidades de las
  moléculas
Efusión de un gas
java.gif (886 bytes) Distribución de la energía entre las moléculas

java.gif (886 bytes) Distribución de las velocidades de las moléculas

Referencias

Código fuente

 

En un gas ideal encerrado en un recipiente, el movimiento de las moléculas es completamente al azar, es decir, todas las direcciones del espacio son igualmente probables. Pero no es posible que todas las velocidades v de las moléculas sean igualmente probables ya que hay una relación lineal entre el valor medio cuadrático de la velocidad y la temperatura absoluta del gas ideal.

En esta sección vamos a determinar, aplicando la ley de Boltzmann, la distribución de las velocidades de las moléculas de un gas ideal a temperatura T, es decir, a contar el número de moléculas cuyas velocidades están comprendidas entre v y v+dv.

 

Distribución de la energía entre las moléculas

La energía de una partícula de masa m que se mueve en una región unidimensional de anchura a no puede tener cualquier valor. Cuando resolvemos la ecuación de Schrödinger para una partícula que se mueve en cubo de anchura a obtenemos los niveles de energía que puede ocupar dicha partícula.

niveles.gif (1601 bytes)

siendo nx, ny, y nz números enteros positivos.

Cuando a es grande, como ocurre para las partículas de un gas encerrado en un recipiente, los niveles de energía están muy juntos. Nuestra tarea ahora es la de calcular el número de niveles de energía comprendidos en el intervalo entre E y E+dE.

 

Primero, calculamos el número de niveles en el intervalo entre 0 y E, que es igual a la octava parte del volumen de una esfera de radio k, tal como puede verse en la figura, ya que nx, ny, y nz son números enteros positivos.

Siendo V el volumen del recipiente V=a3.

Derivando con respecto de E, obtenemos el número de niveles comprendidos entre E y E+dE.

El número de moléculas cuya energía está comprendida entre E y E+dE se obtiene aplicando la ley de Boltzmann.

N es el número total de partículas en el recipiente de volumen V, y C es una constante de proporcionalidad que se determina a partir de la condición de que todas las partículas tienen una energía comprendida entre cero e infinito.

Introduciendo el valor de C en la fórmula anterior, queda finalmente.

             (1)

Podemos hallar la energía del gas ideal mediante

Dividiendo entre N, número de moléculas, obtenemos la energía media de las moléculas es 3kT/2

Por tanto, la energía de las moléculas de un gas ideal monoatómico es proporcional a la temperatura absoluta del gas. Históricamente esta ecuación fue introducida en el siglo XIX mucho antes del desarrollo de la Mecánica Estadística, en conexión con la teoría cinética de los gases.

El número N de moléculas es igual al número de moles m por el número de Avogadro N0=6.0225 1023 mol-1. El producto del número de Avogadro por la constante de Boltzmann k=1.38 10-23 J/K nos da la constante R=8.3143 J/(K mol) de los gases ideales.

Los datos experimentales están de acuerdo con la teoría, lo que confirma la aplicabilidad de la estadística de Maxwell-Boltzmann. Por ejemplo, una reacción determinada ocurre solamente si las moléculas tienen cierta energía igual o mayor que E0. La velocidad de la reacción a una temperatura dada depende entonces, del número de moléculas que tienen una energía mayor o igual que E0.

Actividades

Se introduce

  • la temperatura en kelvin en el control titulado Temperatura.
  • el valor de la energía en electrón-voltios en el control de edición titulado Energía.

Al pulsar el botón Calcular se representa la función (1) y se calcula la proporción de moléculas cuya energía es superior a la introducida, es decir, el cociente entre el área sombreada y el área total bajo la curva.

 

                
 

Distribución de las velocidades de las moléculas

Para un gas ideal monoatómico la energía de las moléculas es solamente cinética E=mv2/2.

En la fórmula (1) efectuamos el cambio de variable E por v.

Resultando la expresión

 (2)

que es la fórmula de Maxwell para la distribución de velocidades de las moléculas de un gas ideal. Nos proporciona el número dn de moléculas que se mueven con una velocidad comprendida entre v y v+dv independientemente de la dirección del movimiento.

Deducción alternativa

Existe otra manera de deducir la distribución de velocidades de Maxwell

El número de moléculas cuya velocidad está comprendida entre v y v+dv, es decir entre vx y vx+dvx, vy y vy+dvy, vz y vz+dvz, de acuerdo a la ley de Boltzmann es

            (3)

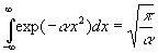
donde c es una constante a determinar sabiendo que el número total de moléculas es N. Se efectúa una integral triple entre los límites -¥ y +¥,

Teniendo en cuenta el resultado de la integral

se obtiene

 

Aplicaciones

Calculamos el número de moléculas cuya componente X de la velocidad está comprendida entre vx y vx+dvx independientemente de los valores de las otras dos componentes, integrando respecto de vy y vz entre los límites -¥ y +¥ .

maxwell_1.gif (2581 bytes) La sublimación de un sólido se explica de la siguiente forma: a una temperatura T saldrán de la superficie del cristal aquellos átomos cuya componente X de la velocidad sea positiva y mayor que un valor mínimo vmin, tal que

donde f es la energía de evaporación de las moléculas en la superficie del cristal

En general, el número de moléculas que tienen una componente X de su velocidad mayor que un valor mínimo se obtiene

erf(x) se denomina función error y viene tabulada en los libros de Matemáticas. Sus valores más notables son:

erf(0)=0, y erf(∞)=1.

El efecto termoiónico es un fenómeno análogo a la sublimación de las moléculas en un sólido, aunque los electrones obedecen a la estadística cuántica de Fermi-Dirac.

El programa interactivo que viene a continuación, calcula 1-erf(x), la complementaria del de la función error cuando se introduce el valor de x en el intervalo [0, ∞). Véase Numerical Recipes in C

Programa para calcular  1.0-erf(x)

ForzadasApplet aparecerá en un explorador compatible con JDK 1.1.

 

Velocidad media y velocidad cuadrática media

gas_5.gif (1637 bytes) En el espacio de velocidades, un elemento de volumen, es el comprendido entre dos esferas de radios v y v+dv, es decir,  dv=4p v2dv, tal como se ve en la figura.

El valor de esta integral, nos permite calcular la constante de proporcionalidad c

 La expresión para el número de partículas cuyo módulo de la velocidad esta comprendida entre v y v+dv es

       (2)

Que es la misma expresión (2) que hemos obtenido al comienzo de esta sección 

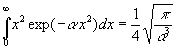
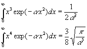
Teniendo en cuenta los valores de las integrales

Podemos hallar la velocidad media y de la velocidad cuadrática media.

  1. La velocidad media

  1. La velocidad cuadrática media

es la energía media de las moléculas.

La raíz cuadrada del valor medio del cuadrado de las velocidades se denomina vrms

  1. A partir de la expresión (2) podemos hallar la velocidad para la cual la función de distribución presenta un máximo.

Los datos necesarios para hallar estos valores son los siguientes

Constante de Boltzmann k=1.3805·10-23 J/K

Número de Avogadro NA=6.0225·1023 /mol

Gas Peso molecular (M) en g.
Hidrógeno (H2) 2
Oxígeno (O2) 32
Nitrógeno (N2) 28
Helio (He) 4
Neón (Ne) 10
Argón (Ar) 18

Ejemplo:

Calcular la vrms del oxígeno a 500 ºK

 

Actividades

  • Se selecciona el gas ideal, en el control selección titulado Gas.
  • Se introduce la temperatura en kelvin en el control de edición titulado Temperatura.

Se pulsa en el botón titulado Gráfica.

El programa calcula la velocidad vp a la cual la función de distribución presenta un máximo, la velocidad cuadrática media vrms y la velocidad media <v> Representa mediante una línea vertical a trazos la velocidad cuadrática media.

Se pulsa en el botón titulado Borrar para limpiar el área de trabajo del applet.

Ejercicios:

  • Comparar la distribución de las velocidades de un gas ideal a distintas temperaturas
  • Comparar la distribución de las velocidades de varios gases ideales a la misma temperatura.

 

Referencias

Press W. H., Teukolsky S. A., Vetterling W. T., Flannery B. P. Numerical Recipes in C, Second edition, Special functions. Error function, Chapter 6º. pp. 220-221. Cambridge University Press. Código en C adaptado por el autor al lenguaje Java

 

Código fuente

double erfcc(double x) {
	double t,z,ans;
	z=Math.abs(x);
	t=1.0/(1.0+0.5*z);
	ans=t*Math.exp(-z*z-1.26551223+t*(1.00002368+t*(0.37409196+t*(0.09678418+
		t*(-0.18628806+t*(0.27886807+t*(-1.13520398+t*(1.48851587+
		t*(-0.82215223+t*0.17087277)))))))));
	return x >= 0.0 ? ans : 2.0-ans;
}