Errores en las medidas

prev.gif (1164 bytes)home.gif (1282 bytes)next.gif (1210 bytes)

Unidades y medidas
Sistema Internacional
de Unidades
Símbolos de las mag-
nitudes físicas
marca.gif (847 bytes)Errores en las medidas
La balanza
El calibre
Medida del área de 
una figura rectangular

 

Reglas para expresar una medida y su error

java.gif (871 bytes) Medidas directas

Medidas indirectas

Referencias

 

Reglas para expresar una medida y su error

Toda medida debe de ir seguida por la unidad, obligatoriamente del Sistema Internacional de Unidades de medida.

Cuando un físico mide algo debe tener gran cuidado para no producir una perturbación en el sistema que está bajo observación. Por ejemplo, cuando medimos la temperatura de un cuerpo, lo ponemos en contacto con un termómetro. Pero cuando los ponemos juntos, algo de energía o "calor" se intercambia entre el cuerpo y el termómetro, dando como resultado un pequeño cambio en la temperatura del cuerpo que deseamos medir. Así, el instrumento de medida afecta de algún modo a la cantidad que deseábamos medir

Además, todas las medidas está afectadas en algún grado por un error experimental debido a las imperfecciones inevitables del instrumento de medida, o las limitaciones impuestas por nuestros sentidos que deben de registrar la información.

1.-Todo resultado experimental o medida hecha en el laboratorio debe de ir acompañada del valor estimado del error de la medida y a continuación, las unidades empleadas.

Por ejemplo, al medir una cierta distancia hemos obtenido

 297±2 mm.

De este modo, entendemos que la medida de dicha magnitud está en alguna parte entre 295 mm y 299 mm. En realidad, la expresión anterior no significa que se está seguro de que el valor verdadero esté entre los límites indicados, sino que hay cierta probabilidad de que esté ahí.

Una medida de una velocidad expresada de la forma

6051.78±30 m/s

es completamente ridícula, ya que la cifra de las centenas puede ser tan pequeña como 2 o tan grande como 8. Las cifras que vienen  a continuación 1, 7 y 8 carecen de significado y deben de ser redondeadas. La expresión correcta es

6050±30 m/s

Una medida de 92.81 con un error de 0.3, se expresa

92.8±0.3

Con un error de 3, se expresa

93±3

Con un error de 30 se expresa

90±30

2.- Los errores se deben dar solamente con una única cifra significativa. Únicamente, en casos excepcionales, se pueden dar una cifra y media (la segunda cifra 5 ó 0).

3.-La última cifra significativa en el valor de una magnitud física y en su error, expresados en las mismas unidades, deben de corresponder al mismo orden de magnitud (centenas, decenas, unidades, décimas, centésimas).

  • Expresiones incorrectas por la regla 2

 24567±2928 m

23.463±0.165 cm

345.20±3.10 mm

  •  Expresiones incorrectas por la regla 3.

24567±3000 cm

43±0.06 m

345.2±3 m

  •  Expresiones correctas

 24000±3000 m

23.5±0.2 cm

345±3 m

43.00±0.06 m

 

Medidas directas

Un experimentador que haga la misma medida varias veces no obtendrá, en general, el mismo resultado, no sólo por causas imponderables como variaciones imprevistas de las condiciones de medida: temperatura, presión, humedad, etc., sino también, por las variaciones en las condiciones de observación del experimentador.

Si al tratar de determinar una magnitud por medida directa realizamos varias medidas con el fin de corregir los errores aleatorios, los resultados obtenidos son x1, x2, ... xn se adopta como mejor estimación del valor verdadero, el valor medio <x>, que viene dado por

El valor medio, se aproximará tanto más al valor verdadero de la magnitud cuanto mayor sea el número de medidas, ya que los errores aleatorios de cada medida se va compensando unos con otros. Sin embargo, en la práctica, no debe pasarse de un cierto número de medidas. En general, es suficiente con 10, e incluso podría bastar 4 ó 5.

Cuando la sensibilidad del método o de los aparatos utilizados es pequeña comparada con la magnitud de los errores aleatorios, puede ocurrir que la repetición de la medida nos lleve siempre al mismo resultado; en este caso, está claro que el valor medio coincidirá con el valor medido en una sola medida, y no se obtiene nada nuevo en la repetición de la medida y del cálculo del valor medio, por lo que solamente será necesario en este caso hacer una sola medida.

De acuerdo con la teoría de Gauss de los errores, que supone que estos se producen por causas aleatorias, se toma como la mejor estimación del error, el llamado error cuadrático definido por

 El resultado del experimento se expresa como

 <x>±Dx y la unidad de medida

4.-La identificación del error de un valor experimental con el error cuadrático obtenido de n medidas directas consecutivas, solamente es válido en el caso de que el error cuadrático sea mayor que el error instrumental, es decir, que aquél que viene definido por la resolución del aparato de medida.

Es evidente, por ejemplo, tomando el caso más extremo, que si el resultado de las n medidas ha sido el mismo, el error cuadrático, de acuerdo con la formula será cero, pero eso no quiere decir que el error de la medida sea nulo. Sino, que el error instrumental es tan grande, que no permite observar diferencias entre las diferentes medidas, y por tanto, el error instrumental será el error de la medida.

Ejemplos:

El siguiente applet se puede utilizar para calcular el valor medio de una serie de medidas y el error cuadrático. Se introduce cada una de las medidas en el control área de texto del applet, y se pulsa RETORNO, de este modo las medidas aparecen en una columna. A continuación, se pulsa el botón titulado Calcular. El botón titulado Borrar limpia el área de texto y lo prepara para la introducción de otra serie de medidas.

  1. Si al hacer una medida de la intensidad con un amperímetro cuya división o cifra significativa más pequeña es 0.01 A, la lectura es 0.64 A, y esta lectura es constante (no se observan variaciones al medir en diferentes instantes), tomaremos 0.64 como el valor de la medida y 0.01 A como su error. La medida se expresará así

0.64±0.01 A

  1. Supongamos que hemos medido un determinado tiempo, t, cuatro veces, y disponemos de un cronómetro que permite conocer hasta las décimas de segundo. Los resultados han sido: 6.3, 6.2, 6.4 y 6.2 s. De acuerdo a lo dicho anteriormente, tomaremos como valor medido el valor medio:

 

 El error cuadrático será

Este error se expresa con una sola cifra significativa, (regla 2), Dt=0.05 s. Pero el error cuadrático es menor que el error instrumental, que es 0.1 s, por lo que debemos tomar este último como el error de la medida, y redondear en consecuencia el valor medio, (regla 3) por lo que el resultado final de la medida es

t=6.3±0.1 s

  1. Consideremos un ejemplo similar al anterior, pero en que los valores obtenidos para el tiempo están más dispersos: 5.5, 5.7, 6.2 y 6.5 s. Se encuentra que el valor medio es 5.975, y el error cuadrático 0.2286737. El error cuadrático es en esta caso mayor que el error instrumental, por lo que debemos tomarlo como el error de la medida. Siguiendo la regla 2, lo debemos redondear a 0.2 (una sola cifra significativa). Y de acuerdo con la regla 3 (la medida y el error con el mismo número de decimales), expresamos la medida finalmente como

 t=6.0±0.2 s

 

Error absoluto y error relativo

Los errores de los que hemos estado hablando hasta ahora son los errores absolutos. El error relativo se define como el cociente entre el error absoluto y el valor medio. Es decir

 

donde <x> se toma en valor absoluto, de forma que e es siempre positivo.

El error relativo es un índice de la precisión de la medida. Es normal que la medida directa o indirecta de una magnitud física con aparatos convencionales tenga un error relativo del orden del uno por ciento o mayor. Errores relativos menores son posibles, pero no son normales en un laboratorio escolar.

 

Medidas indirectas

En muchos casos, el valor experimental de una magnitud se obtiene, de acuerdo a una determinada expresión matemática, a partir de la medida de otras magnitudes de las que depende. Se trata de conocer el error en la magnitud derivada a partir de los errores de las magnitudes medidas directamente.

Funciones de una sola variable

Si se desea calcular el índice de refracción n de un vidrio midiendo el ángulo crítico θ, tenemos que n=1/senθ. Si medimos el ángulo θ es fácil calcular el índice de refracción n. Pero si conocemos el error de la medida del ángulo, necesitamos conocer el error del índice de refracción.

Sea una función y=y(x). Como se aprecia en la figura, si el error Δx es pequeño. El error Δy se calcula del siguiente modo

Δy=tanθ·Δx

Pero tanθ es la pendiente de la recta tangente a al curva en el punto de abscisa x

Como la pendiente puede ser positiva, si la función es creciente o negativa si la función es decreciente, en general tendremos que

Sea y=cos x

Sea x=20±3 º,

y=cos20=0.9397

El error Δx=0.05 rad

Δy=|sen20|·0.05=0.02

y=0.94±0.02

Un ejemplo importante y frecuente en el laboratorio sobre las medidas indirectas es el siguiente:

  1. Supongamos que queremos medir el periodo P de un oscilador, es decir, el tiempo que tarda en efectuar una oscilación completa, y disponemos de un cronómetro que aprecia las décimas de segundo, 0.1 s. Medimos el tiempo que tarda en hacer 10 oscilaciones, por ejemplo 4.6 s, dividiendo este tiempo entre 10 resulta P=0.46 s, que es el periodo "medio".

 

 Obtenemos para el error DP=0.01 s. Por tanto, la medida la podemos expresar como

P=0.46±0.01 s

Es evidente, que podemos aumentar indefinidamente la resolución instrumental para medir P aumentando el número de periodos que incluimos en la medida directa de t. El límite está en nuestra paciencia y la creciente probabilidad de cometer errores cuando contamos el número de oscilaciones. Por otra parte, el oscilador no se mantiene con la misma amplitud indefinidamente, sino que se para al cabo de un cierto tiempo.

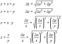
Función de varias variables

La magnitud y viene determinada por la medida de varias magnitudes p, q, r, etc., con la que está ligada por la función

 y=f(p, q, r ...).

El error de la magnitud y viene dado por la siguiente expresión.

 

Casos más frecuentes

 

  1. La medida de los lados de un rectángulo son 1.53±0.06 cm, y 10.2±0.1 cm, respectivamente. Hallar el área del rectángulo y el error de la medida indirecta.

El área es z=1.53×10.2=15.606 cm2

El error relativo del área Dz/z se obtiene aplicando la fórmula del producto de dos magnitudes.

El error absoluto con una sola cifra significativa es 0.6. De acuerdo con la regla 3, la medida del área junto con el error y la unidad se escribirá como

15.6±0.6 cm2

Funciones de dos variables

Queremos calcular la aceleración de la gravedad g, midiendo el periodo P de un péndulo de longitud l

 

La expresión del error Δg de la variable dependiente g

Supongamos que medimos el periodo P y la longitud l del péndulo

P=1.396±0.004 s
l
=92.95±0.1 cm

Calculamos la aceleración de la gravedad y el error

g=979.035 cm/s2
Δg=4.28

Expresamos correctamente la medida y el error de g

979±4 cm/s2

Cálculo del error en la medida del índice de refracción n.

Sea i=20±1 º y r=13±1 º

Se calcula el índice de refracción y el error

 n=1.52
Δn=0.136

Expresamos correctamente la medida y el error de n

n=1.5±0.1

 

 

Referencias

Dpto. de Física de la Materia Condensada. Cálculo de errores en las medidas. Universidad del País Vasco. Leioa (Vizcaya)

Taylor J. R. An Introduction to Error Analysis. The Study of Uncertainties in Physical Measurements. University Science Books (1982)