Sistema Internacional de Unidades Símbolos de las mag- nitudes físicas Errores en las medidas La balanza
Medida del área de una figura rectangular |
|
|
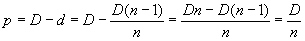
| El calibre es un aparato empleado para la medida de espesores y diámetros interiores y exteriores. Consta de una regla provista de un nonius. El nonius es un aparato destinado a la medida precisa de longitudes o de ángulos. El empleado para la medida de longitudes consta de una regla dividida en partes iguales, sobre la que desliza una reglilla graduada (nonius) de tal forma que n-1 divisiones de la regla se dividen en n partes iguales del nonius. Si D es la longitud de una de las divisiones de la regla, la longitud de una división de nonius es d=D(n-1)/n Se llama precisión p a la diferencia entre las longitudes de una división de la regla y otra del nonius. Su valor es: Así, si cada división de la regla tiene por longitud un milímetro, y se han dividido nueve divisiones de ella en diez del nonius, la precisión es de 1/10 de mm (nonius decimal). En la figura, se muestra una imagen del calibre, y el nombre de sus componentes. En el programa interactivo se mostrará la parte marcada en rojo, para que el lector pueda practicar con este importante instrumento de medida del laboratorio de Física. |

Simulación del calibreAhora pongamos en práctica el calibre. Supongamos que deseamos efectuar medidas de las dimensiones de distintas piezas con dos calibre de distinta precisión. Al pulsar el botón Nuevo, se efectúa una nueva medida, se introduce la medida en el control de edición, y se pulsa el botón Aceptar. Un mensaje nos indica si se ha introducido la medida correcta, si faltan decimales, etc. Si no acertamos, podemos pulsar el botón titulado Ayuda, una flecha roja en la regla marca la parte entera, y una flecha azul sobre el nonius marca la parte decimal de la medida. Se introducirá como separador entre la parte entera y la parte decimal el punto (.) en vez de la coma (,).
|