Principio de Arquímedes

prev.gif (1231 bytes)home.gif (1232 bytes)next.gif (1211 bytes)

Fluidos

Estática de fluidos
marca.gif (847 bytes)Principio de Arquímedes
Medida de la densidad 
de un líquido y un sólido
Flotación entre dos líquidos
no miscibles
Equilibrio de una varilla
parcialmente sumergida
Movimiento de un cuerpo
en el seno de un fluido ideal
Movimiento de una burbuja
en un fluido viscoso
Flotación de un barco
Oscilaciones de una boya
Oscilaciones de 
una esfera
El diablillo de Descartes
Principio de Arquímedes

Energía potencial mínima.

Energía potencial de un cuerpo que se mueve en el seno de un fluido

Energía potencial de un cuerpo parcialmente sumergido

java.gif (886 bytes)Actividades

 

Principio de Arquímedes

El principio de Arquímedes afirma que todo cuerpo sumergido en un fluido experimenta un empuje vertical y hacia arriba igual al peso de fluido desalojado.

La explicación del principio de Arquímedes consta de dos partes como se indica en la figuras:

  1. El estudio de las fuerzas sobre una porción de fluido en equilibrio con el resto del fluido.
  2. La sustitución de dicha porción de fluido por un cuerpo sólido de la misma forma y dimensiones.

arquimedes_1.gif (4544 bytes)

Porción de fluido en equilibrio con el resto del fluido.

Consideremos, en primer lugar, las fuerzas sobre una porción de fluido en equilibrio con el resto de fluido. La fuerza que ejerce la presión del fluido sobre la superficie de separación es igual a p·dS, donde p solamente depende de la profundidad y dS es un elemento de superficie.

Puesto que la porción de fluido se encuentra en equilibrio, la resultante de las fuerzas debidas a la presión se debe anular con el peso de dicha porción de fluido. A esta resultante la denominamos empuje y su punto de aplicación es el centro de masa de la porción de fluido, denominado centro de empuje.

De este modo, para una porción de fluido en equilibrio con el resto, se cumple

Empuje=peso=rf·gV

El peso de la porción de fluido es igual al producto de la densidad del fluido rf  por la aceleración de la gravedad g y por el volumen de dicha porción V.

Se sustituye la porción de fluido por un cuerpo sólido de la misma forma y dimensiones.

Si sustituimos la porción de fluido por un cuerpo sólido de la misma forma y dimensiones. Las fuerzas debidas a la presión no cambian, por tanto, su resultante que hemos denominado empuje es la misma y actúa en el mismo punto, denominado centro de empuje.

Lo que cambia es el peso del cuerpo sólido y su punto de aplicación que es el centro de masa, que puede o no coincidir con el centro de empuje.

arquimedes_2.gif (2179 bytes) Por tanto, sobre el cuerpo actúan dos fuerzas: el empuje y el peso del cuerpo, que no tienen en principio el mismo valor ni están aplicadas en el mismo punto.

En los casos más simples, supondremos que el sólido y el fluido son homogéneos y por tanto, coinciden el centro de masa del cuerpo con el centro de empuje.

Ejemplo:

Supongamos un cuerpo sumergido de densidad ρ rodeado por un fluido de densidad ρf. El área de la base del cuerpo es A y su altura h.

La presión debida al fluido sobre la base superior es p1= ρfgx, y la presión debida al fluido en la base inferior es p2= ρfg(x+h). La presión sobre la superficie lateral es variable y depende de la altura, está comprendida entre p1 y p2.

Las fuerzas debidas a la presión del fluido sobre la superficie lateral se anulan. Las otras fuerzas sobre el cuerpo son las siguientes:

  • Peso del cuerpo, mg

  • Fuerza debida a la presión sobre la base superior, p1·A

  • Fuerza debida a la presión sobre la base inferior, p2·A

En el equilibrio tendremos que

mg+p1·A= p2·A
mg
+ρfgx·A= ρfg(x+hA

o bien,

mg=ρfh·Ag

Como la presión en la cara inferior del cuerpo p2 es mayor que la presión en la cara superior p1, la diferencia es ρfgh. El resultado es una fuerza hacia arriba ρfgh·A sobre el cuerpo debida al fluido que le rodea.

Como vemos, la fuerza de empuje tiene su origen en la diferencia de presión entre la parte superior y la parte inferior del cuerpo sumergido en el fluido.

Con esta explicación surge un problema interesante y debatido. Supongamos que un cuerpo de base plana (cilíndrico o en forma de paralepípedo) cuya densidad es mayor que la del fluido, descansa en el fondo del recipiente.

Si no hay fluido entre el cuerpo y el fondo del recipiente ¿desaparece la fuerza de empuje?, tal como se muestra en la figura

Si se llena un recipiente con agua y se coloca un cuerpo en el fondo, el cuerpo quedaría en reposo sujeto por su propio peso mg y la fuerza p1A que ejerce la columna de fluido situada por encima del cuerpo, incluso si la densidad del cuerpo fuese menor que la del fluido. La experiencia demuestra que el cuerpo flota y llega a la superficie.

El principio de Arquímedes sigue siendo aplicable en todos los casos y se enuncia en muchos textos de Física del siguiente modo:

Cuando un cuerpo está parcialmente o totalmente sumergido en el fluido que le rodea, una fuerza de empuje actúa sobre el cuerpo. Dicha fuerza tiene dirección hacia arriba y su magnitud es igual al peso del fluido que ha sido desalojado por el cuerpo.

 

Energía potencial mínima.

En este apartado, se estudia el principio de Arquímedes como un ejemplo, de cómo la Naturaleza busca minimizar la energía.

Supongamos un cuerpo en forma de paralepípedo de altura h, sección A y de densidad ρs. El fluido está contenido en un recipiente de sección S  hasta una altura b. La densidad del fluido es ρf> ρs.

Se libera el cuerpo, oscila hacia arriba y hacia abajo, hasta que alcanza el equilibrio flotando sobre el líquido sumergido una longitud x.  El líquido del recipiente asciende hasta una altura d. Como la cantidad de líquido no ha variado S·b=S·d-A·x

Hay que calcular x, de modo que la energía potencial del sistema formado por el cuerpo y el fluido sea mínima.

Tomamos el fondo del recipiente como nivel de referencia de la energía potencial.

El centro de masa del cuerpo se encuentra a una altura d-x+h/2. Su energía potencial es Es=(ρs·A·h)g(d-x+h/2)

Para calcular el centro de masas del fluido, consideramos el fluido como una figura sólida de sección S y altura d a la que le falta una porción de sección A y altura x.

  • El centro de masas de la figura completa, de volumen S·d es d/2

  • El centro de masas del hueco, de volumen A·x, está a una altura (d-x/2)

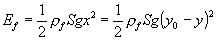
La energía potencial del fluido es Ef=ρf(Sb)g·yf

La energía potencial total es Ep=Es+Ef

El valor de la constante aditiva cte, depende de la elección del nivel de referencia de la energía potencial.

En la figura, se representa la energía potencial Ep(x) para un cuerpo de altura h=1.0, densidad ρs=0.4, parcialmente sumergido en un líquido de densidad ρf=1.0.

La función presenta un mínimo, que se calcula derivando la energía potencial con respecto de x e igualando a cero

En la posición de equilibrio, el cuerpo se encuentra sumergido

 

Energía potencial de un cuerpo que se mueve en el seno de un fluido

arquimedes_3.gif (2174 bytes) Cuando un globo de helio asciende en el aire actúan sobre el globo las siguientes fuerzas:
  • El peso del globo Fg=mgj .
  • El empuje Fe= rfVgj, siendo rf  la densidad del fluido (aire).
  • La fuerza de rozamiento Fr debida a la resistencia del aire

Dada la fuerza conservativa podemos determinar la fórmula de la energía potencial asociada, integrando

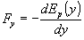
  • La fuerza conservativa peso Fg=mgj está asociada con la energía potencial Eg=mg·y.
  • Por la misma razón, la fuerza conservativa empuje Fe= rVg j está asociada a la energía potencial Ee=-rfVg·y.

Dada la energía potencial podemos obtener la fuerza conservativa, derivando

La energía potencial asociada con las dos fuerzas conservativas es

Ep=(mg- rfVg)y

A medida que el globo asciende en el aire con velocidad constante experimenta una fuerza de rozamiento Fr debida a la resistencia del aire. La resultante de las fuerzas que actúan sobre el globo debe ser cero.

rf Vg- mg-Fr=0

Como rfVg> mg a medida que el globo asciende su energía potencial  Ep disminuye.

Empleando el balance de energía obtenemos la misma conclusión

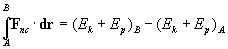
El trabajo de las fuerzas no conservativas Fnc modifica la energía total (cinética más potencial) de la partícula. Como el trabajo de la fuerza de rozamiento es negativo y la energía cinética Ek no cambia (velocidad constante), concluimos que la energía potencial final EpB es menor que la energía potencia inicial EpA.

En la página titulada "movimiento de un cuerpo en el seno de un fluido ideal", estudiaremos la dinámica del cuerpo y aplicaremos el principio de conservación de la energía.

 

Energía potencial de un cuerpo parcialmente sumergido

En el apartado anterior, estudiamos la energía potencial de un cuerpo totalmente sumergido en un fluido (un globo de helio en la atmósfera). Ahora vamos a suponer un bloque cilíndrico que se sitúa sobre la superficie de un fluido (por ejemplo agua).

Pueden ocurrir dos casos:

  • Que el bloque se sumerja parcialmente si la densidad del cuerpo sólido es menor que la densidad del fluido, rs< rf.
  • Que el cuerpo se sumerja totalmente si rs³ rf.

Cuando el cuerpo está parcialmente sumergido, sobre el cuerpo actúan dos fuerzas el peso mg=rsSh·g que es constante y el empuje rfSx·g que no es constante. Su resultante es

F=(-rsShg+rfSxg)j.

Donde S el área de la base del bloque, h la altura del bloque y x la parte del bloque que está sumergida en el fluido.

Tenemos una situación análoga a la de un cuerpo que se coloca sobre un muelle elástico en posición vertical. La energía potencial gravitatoria mgy del cuerpo disminuye, la energía potencial elástica del muelle kx2/2 aumenta, la suma de ambas alcanza un mínimo en la posición de equilibrio, cuando se cumple –mg+kx=0, cuando el peso se iguala a la fuerza que ejerce el muelle.

El mínimo de Ep se obtiene cuando la derivada de Ep respecto de y es cero, es decir en la posición de equilibrio.

arquimedes_4.gif (3796 bytes)

La energía potencial del cuerpo parcialmente sumergido será, de forma análoga

El mínimo de Ep se obtiene cuando la derivada de Ep respecto de y es cero, es decir, en la posición de equilibrio, cuando el peso se iguale al empuje. -rsShg+rfSxg=0

El bloque permanece sumergido una longitud x. En esta fórmula, se ha designado r como la densidad relativa del sólido (respecto del fluido) es decir, la densidad del sólido tomando la densidad del fluido como la unidad.

Fuerzas sobre el bloque

  1. Cuando r <1 o bien rs< rf, el cuerpo permanece parcialmente sumergido en la situación de equilibrio.
  1. Cuando r >1 o bien rs> rf, el peso es siempre mayor que el empuje, la fuerza neta que actúa sobre el bloque es

Fy=-rsShg+rfShg<0.

No existe por tanto, posición de equilibrio, el bloque cae hasta que llega al fondo del recipiente que supondremos muy grande.

  1. Cuando r =1 o bien rs= rf, El peso es mayor que el empuje mientras el bloque está parcialmente sumergido (x<h).

Fy=-r Shg+r Sxg<0.

La fuerza neta que actúa sobre el bloque cuando está completamente sumergido (x³ h) es cero, y cualquier posición del bloque, completamente sumergido en el seno del fluido, es de equilibrio.

 

Curvas de energía potencial

  1. La energía potencial correspondiente a la fuerza conservativa peso es

Eg= rsShgy

  1. La energía potencial correspondiente a la fuerza de empuje tiene dos partes

arquimedes_5.gif (3176 bytes)

  • Mientras el cuerpo está parcialmente sumergido (x<h)

Que corresponde al área del triángulo de la figura de la izquierda.

  • Cuando el cuerpo está totalmente sumergido (x³ h)

Que corresponde a la suma del área de un triángulo de base h, y la de un rectángulo de base x-h.

  1. La energía potencial total es la suma de las dos contribuciones

Ep=Eg+Ef

Cuando la densidad del sólido es igual a la del fluido rs= rf, la energía potencial total Ep es constante e independiente de x (o de y) para x³ h como puede comprobarse fácilmente.

 

Actividades

Se introduce

  • La densidad del sólido r  relativa al fluido en la barra de desplazamiento titulada Densidad relativa.
Se pulsa el botón titulado Empieza.

El bloque tiene una altura h=1 de una unidad y una sección S. Se coloca el bloque justamente encima de la superficie del fluido. La altura de su centro de masas es y0=1.5 unidades.

Se suelta el bloque, llega hasta la posición final de equilibrio ye= r h, si la densidad r <1, o hasta el fondo del recipiente si la densidad r >1.

El programa interactivo no hace ninguna suposición acerca del modo en el que el bloque parte de la posición inicial y llega a la posición final (no calcula la posición y velocidad del cuerpo en cada instante), ya que el objetivo del programa es el de mostrar los cambios en la energía potencial Ep del cuerpo con la posición y del c.m. del mismo.

En la parte derecha del applet, se traza:

  • la energía potencial debida a la fuerza conservativa peso Eg (en color negro),
  • la energía potencial debida al empuje Ef (en color azul)
  • la suma de ambas contribuciones Ep (en color rojo) en función de la posición y del c.m. del bloque

Como podemos apreciar la curva de la energía potencial gravitatoria Eg (en color negro) es una recta cuyo valor máximo está en la posición inicial y=1.5 y es cero cuando el bloque llega al fondo y=0.

La curva de la energía potencial correspondiente al empuje Ef (en color azul) es algo más complicada y consta de dos partes: Una parábola mientras el cuerpo está parcialmente sumergido (x<h) ó (y>0.5), unida a una línea recta cuando el cuerpo está completamente sumergido (x³ h) ó (y£ 0.5). La energía potencial inicial es cero y se va incrementando a medida que el cuerpo se sumerge en el fluido.

La curva de la energía potencial total Ep (en color rojo) es la suma de las dos contribuciones, Ep=Eg+Ef

Para trazar estas gráficas se ha tomado como unidad de energía, la energía potencial inicial del bloque rsShg·y0 con y0=1.5, h=1 y rs=r , densidad del sólido relativa al fluido rf=1. De este modo, la energía potencial inicial del bloque es una unidad.

Se presentan tres casos:

  1. Cuando r <1, la energía potencial presenta un mínimo en x= r h. En este caso con x=y0-y, h=1 e y0=1.5, tendremos que la posición del c.m. en el equilibrio será ye=1.5-r .
     
  2. Cuando r >1, la curva de la energía potencial no tiene mínimo y por tanto, no hay posición de equilibrio estable.
     
  3. En el caso límite en el que r =1 la energía potencial para y£ 0.5 es una línea recta horizontal, y la posición de equilibrio del c.m. del bloque puede ser cualquier y£ 0.5.
FluidoApplet1 aparecerá en un explorador compatible con JDK 1.1.

 

 

Referencias

Reed B. C. Archimedes' law sets a good energy-minimization example. Physics Education, 39 (4) July 2004, pp. 322-323.

Keeports D. How does the potencial energy of a rising helium-filled balloon change?. The Physics Teacher, Vol 40, March 2002, pp. 164-165.

Silva A., Archimedes' law and the potential energy: modelling and simulation with a sreadsheet. Phys. Educ. 33 (2) March 1998. pp. 87-92.

Bierman J, Kincanon E. Reconsidering Archimedes’ principle. The Physics Teacher, Vol 41, Setember 2003, pp. 340-344.