Movimiento de un cuerpo en el seno de un fluido

prev.gif (1231 bytes)home.gif (1232 bytes)next.gif (1211 bytes)

Fluidos

Estática de fluidos
Principio de Arquímedes
Medida de la densidad 
de un líquido y un sólido
Flotación entre dos líquidos
no miscibles
Equilibrio de una varilla
parcialmente sumergida
marca.gif (847 bytes)Movimiento de un cuerpo
 en el seno de un fluido.
Movimiento de una burbuja
en un fluido viscoso
Flotación de un barco
Oscilaciones de una boya
Oscilaciones de 
una esfera
El diablillo de Descartes
Ecuaciones del movimiento

Estudio energético

java.gif (886 bytes)Actividades

 

Un cuerpo de pequeñas dimensiones se deja caer desde una altura de 5 m sobre la superficie de un estanque de 10 m de profundidad. Dependiendo de su densidad, el cuerpo puede frenarse en el líquido y regresar al punto de partida o bien, puede llegar al fondo del estanque y rebotar elásticamente.

Se ha diseñado un programa interactivo para describir el movimiento de un cuerpo en el seno de un fluido no viscoso, tiene un interés didáctico más allá del principio de Arquímedes, pues nos permite explorar el significado de movimiento acelerado y movimiento decelerado, comparando los signos de la velocidad y de la aceleración.

 

Ecuaciones del movimiento

Consideremos un cuerpo de pequeñas dimensiones moviéndose verticalmente en un fluido cuya viscosidad es despreciable por tanto, no actúa ninguna fuerzas de rozamiento

Las fuerzas que actúan sobre el cuerpo en el seno del fluido son dos: el peso y el empuje. El empuje se calcula aplicando el principio de Arquímedes. La segunda ley de Newton se escribe

ma=empuje-peso

arquimedes_5.gif (2541 bytes) Se toma la dirección vertical hacia arriba como eje positivo de las X. Cuando el cuerpo desciende v<0 y cuando asciende v>0.

Se pueden dar los siguientes casos:

  • Si rs<rf entonces a>0 y con v<0 el cuerpo desciende hasta cierta profundidad máxima y luego, asciende retornando al origen.
  • Si rs>rf entonces a<0  y con  v<0 el cuerpo desciende en el fluido
  • Si rs=rf el cuerpo a=0 se mueve con movimiento uniforme en el seno del fluido

Formularemos a continuación las ecuaciones del movimiento del cuerpo a lo largo del eje X, tomando como origen la superficie del estanque.

Movimiento de caída libre desde una altura h.

a=-g
v=-gt
x=h-gt2/2

Cuando llega a la superficie del fluido la velocidad del cuerpo es

Movimiento en el seno del fluido

v=v0+at
x=v0t+at2
/2

Como v0<0, si a>0 la velocidad v disminuye (en valor absoluto) y se puede hacer cero antes de que el cuerpo llegue al fondo del estanque

  • No llega al fondo

El tiempo t necesario para que v sea cero y el desplazamiento es,

Si x>-H (profundidad del estanque) el cuerpo no llega al fondo. El cuerpo, sale del fluido con la misma velocidad v0 y regresa al origen con velocidad final cero.

  • Rebota en el fondo

El cuerpo llega al fondo, (posición x=-H) en el instante t tal que

-H=v0t+at2/2

Con una velocidad

vf=v0+at   (vf<0)

En ese momento, el cuerpo rebota elásticamente (la velocidad cambia de signo) e inicia su ascensión,

v=-vf+at   (v>0)
x=-H-vf t+at2
/2

saliendo del fluido con la misma velocidad con la que entró v0, y regresa al punto de partida con velocidad final cero.

Como podemos apreciar en las ecuaciones, se supone que las dimensiones del cuerpo son pequeñas para no tener que considerar el movimiento del cuerpo mientras entra o sale del agua.

Ejemplo

Sea un cuerpo de pequeñas dimensiones, de densidad ρs= 0.4 g/cm3=400 kg/m3.

Se deja caer desde una altura de 5 m y llega a la superficie del agua con una velocidad v0=-9.9 m/s.

Penetra en el fluido, su aceleración es (1000-400)·9.8/400=14.7 m/s2. Como la velocidad y aceleración tienen signos contrarios, la velocidad disminuye (en valor absoluto) hasta que se hace cero, 0.67 s más tarde, o en el instante t=1.7 s. Alcanzando una profundidad máxima de x=-3.33 m.

A continuación, asciende, sale del agua con la misma velocidad con la que entró y regresa al punto de partida con velocidad final cero.

Si ahora cambiamos la densidad del cuerpo a 2.0 g/cm3. La velocidad con que llega a la superficie del agua es la misma v0=-9.9 m/s.

La aceleración en el fluido es (1000-2000)·9.8/2000=-4.9 m/s2. Como la velocidad y la aceleración tienen el mismo signo, el cuerpo se acelera. Alcanza el fondo 0.83 s después de pasar por la superficie del estanque, con una velocidad de 14.0 m/s.

Después de rebotar en el fondo del estanque, cambia el signo de su velocidad, llega a la superficie del agua y retorna al punto de partida con velocidad final cero.

 

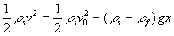
Estudio energético

arquimedes_10.gif (3173 bytes) Cuando el cuerpo está sometido a la acción de fuerzas conservativas, la energía total se conserva.

La energía potencial se transforma en cinética y la energía cinética en potencial. La energía total, suma de la potencial más la cinética, se mantiene constante.

El peso y el empuje son fuerzas conservativas, la energía total permanece constante

  1. En el aire

    Cuando el cuerpo está en el aire la energía potencial vale mgx, donde x es la altura sobre la superficie de fluido.

    Cuando el cuerpo llega a la superficie del fluido, su energía potencial se ha convertido en cinética, su velocidad es v0.

    Si se deja caer el cuerpo desde una altura h=5 m la velocidad con que llega a la superficie del agua es v0=9.9 m/s.
     

  2. En el seno de un fluido ideal

Cuando el cuerpo está en el fluido su energía potencial es (mg-r fVg)x. Donde x es la profundidad (valor negativo).

La velocidad del cuerpo en cualquier punto x<0 del fluido es

Simplificando el volumen V se obtiene la ecuación

  • No llega al fondo del estanque

Si el empuje es mayor que el peso, el cuerpo alcanza una máxima profundidad, poniendo v=0, se despeja x.

Por ejemplo, para rs=0.4 g/cm3, el valor de x=-3.33 m

  • Llega al fondo del estanque

Por ejemplo, para rs=2.0 g/cm3, el empuje es menor que el peso y alcanza el fondo del estanque x=-10 m. con una velocidad de v=14.0 m/s.

 

Actividades

Se introduce

  • la densidad del cuerpo, actuando en la barra de desplazamiento titulada titulado Densidad cuerpo

Se pulsa el botón titulado Empieza.

Se observa el movimiento del cuerpo, las fuerzas que actúan sobre el mismo. A la derecha del applet, se representa la velocidad y la aceleración en cada instante.

Se sugiere al lector que relacione el movimiento acelerado o decelerado, con los signos de la velocidad y de la aceleración en la representación gráfica.

Se sugiere resolver numéricamente el problema y luego, contrastar los resultados obtenidos con el programa interactivo, en los tres casos siguientes:

  • Cuando la densidad del cuerpo es menor que la del agua (1.0 g/cm3 )
  • Cuando la densidad del cuerpo es mayor que la del agua
  • Cuando la densidad del cuerpo es igual a la del agua.
FluidoApplet1 aparecerá en un explorador compatible con JDK 1.1.