Movimiento curvilíneo. Magnitudes cinemáticas

prev.gif (1231 bytes)home.gif (1232 bytes)next.gif (1211 bytes)

Cinemática

Movimiento curvilíneo
marca.gif (847 bytes)Magnitudes cinemáticas
Tiro parabólico
Composición de
movimientos
Apuntar un cañón para
dar en un blanco fijo
Bombardear un blanco
móvil desde un avión
Tiros frontales 
a canasta
Alcance máximo en el
plano horizontal
Alcance máximo en el
plano inclinado
Otros máximos
Disparo de un proyectil
contra un blanco móvil
Barro que se desprende
de una rueda
Tiro parabólico y
movimiento circular
Torpedo a la caza de
un submarino
Movimiento curvilíneo

Componentes tangencial y normal de la aceleración

 

Movimiento curvilíneo

Supongamos que el movimiento tiene lugar en el plano XY, Situamos un origen, y unos ejes, y representamos la trayectoria del móvil, es decir, el conjunto de puntos por los que pasa el móvil. Las magnitudes que describen un movimiento curvilíneo son:

Vector posición r en un instante t.

Cine_10.gif (2821 bytes) Como la posición del móvil cambia con el tiempo. En el instante t, el móvil se encuentra en el punto P, o en otras palabras, su vector posición es r y en el instante t' se encuentra en el punto P', su posición viene dada por el vector r'.

Diremos que el móvil se ha desplazado Dr=r’-r en el intervalo de tiempo Dt=t'-t. Dicho vector tiene la dirección de la secante que une los puntos P y P'.

Vector velocidad

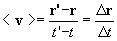
El vector velocidad media, se define como el cociente entre el vector desplazamiento Dr y el tiempo que ha empleado en desplazarse Dt.

El vector velocidad media tiene la misma dirección que el vector desplazamiento, la secante que une los puntos P y P1 cuando se calcula la velocidad media <v1> entre los instantes t y t1.

Cine_12.gif (2647 bytes) El vector velocidad en un instante, es el límite del vector velocidad media cuando el intervalo de tiempo tiende a cero.

Como podemos ver en la figura, a medida que hacemos tender el intervalo de tiempo a cero, la dirección del vector velocidad media, la recta secante que une sucesivamente los puntos P, con los puntos P1, P2....., tiende hacia la tangente a la trayectoria en el punto P.

En el instante t, el móvil se encuentra en P y tiene una velocidad v cuya dirección es tangente a la trayectoria en dicho punto.

Vector aceleración

Cine_13.gif (3324 bytes) En el instante t el móvil se encuentra en P y tiene una velocidad v cuya dirección es tangente a la trayectoria en dicho punto.

En el instante t' el móvil se encuentra en el punto P' y tiene una velocidad v'.

El móvil ha cambiado, en general, su velocidad tanto en módulo como en dirección, en la cantidad dada por el vector diferencia Dv=v’-v.

Se define la aceleración media como el cociente entre el vector cambio de velocidad Dv y el intervalo de tiempo Dt=t'-t, en el que tiene lugar dicho cambio.

Y la aceleración a en un instante

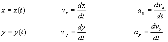
Resumiendo, las ecuaciones del movimiento curvilíneo en el plano XY son

La primera fila corresponde, a las ecuaciones de un movimiento rectilíneo a lo largo del eje X, la segunda fila corresponde, a las ecuaciones de un movimiento rectilíneo a lo largo del eje Y, y lo mismo podemos decir respecto del eje Z.

Por tanto, podemos considerar un movimiento curvilíneo como la composición de movimientos rectilíneos a lo largo de los ejes coordenados.

Ejemplo 1:

Un automóvil describe una curva plana tal que sus coordenadas rectangulares, en función del tiempo están dadas por las expresiones: x=2t3-3t2, y=t2-2t+1 m. Calcular:

  • Las componentes de la velocidad en cualquier instante.

vx=6t2-6t  m/s
vy=2t-2 m/s

  • Las componentes de la aceleración en cualquier instante.

ax=12t m/s2
ay
=2 m/s2

Ejemplo 2:

Un punto se mueve en el plano de tal forma que las componentes rectangulares de la velocidad en función del tiempo vienen dadas por las expresiones: vx=4t3+4t, vy=4t m/s. Si en el instante inicial t0=0 s, el móvil se encontraba en la posición x0=1, y0=2 m. Calcular:

  • Las componentes de la aceleración en cualquier instante

·        Las coordenadas x e y, del móvil, en función del tiempo.

Dada la velocidad vx=4t3+4t del móvil, el desplazamiento x-1 entre los instantes 0 y t se calcula mediante la integral

x=t4+2t2+1 m

Dada la velocidad vy=4t del móvil, el desplazamiento y-2 entre los instantes 0 y t se calcula mediante la integral

y=2t2+2 m

Ejemplo 3:

Se lanza una pelota verticalmente hacia arriba con una velocidad de 20 m/s desde la azotea de un edificio de 50 m de altura. La pelota además es empujada por el viento, produciendo un movimiento horizontal con una aceleración de 2 m/s2. Calcular:

  • La distancia horizontal entre el punto de lanzamiento y de impacto

  • La altura máxima

  • Los instantes y los valores de las componentes de la velocidad cuando la pelota se encuentra a 60 m de altura sobre el suelo.

  1.  Primero, se establece el origen en el punto del lanzamiento y los ejes X e Y apuntando hacia arriba.

  2. Se determinan los signos de las velocidades iniciales v0x=0 y v0y=20 y de la aceleración ay=-10.

  3. Se escriben las ecuaciones del movimiento

  • Movimiento uniformemente acelerado a lo largo del eje X

ax=2   
vx=
2t
x=
2t2/2

  • Movimiento uniformemente acelerado a lo largo del eje Y (movimiento de caída de los cuerpos)

ay=-10
vy=
20+(-10)t
y=
20t+(-10)t2/2

  1. El punto de impacto tiene de coordenadas x desconocida e y=-50 m. Dado y se obtiene el valor de t y luego el valor de x.

y=-50 m
t
=1.74 s
x
=3.03 m

  1. La altura máxima se obtiene cuando la velocidad vertical es cero

vy=0 m/s
t=
2 s
y
=20 m

La altura desde el suelo es 20+50=70 m.

  1. El móvil se encuentra en dos instantes a 60 m de altura sobre el suelo (10 sobre el origen), ya que su trayectoria corta en dos puntos a la recta horizontal y=10 m. La ecuación de segundo grado tiene dos raíces

10=20t+(-10)t2/2
t1=0.59 s y t2=3.41 s.

 

Componentes tangencial y normal de la aceleración

Las componentes rectangulares de la aceleración no tienen significado físico, pero si lo tienen las componentes de la aceleración en un nuevo sistema de referencia formado por la tangente a la trayectoria y la normal a la misma.

Hallar las componentes tangencial y normal de la aceleración en un determinado instante es un simple problema de geometría, tal como se ve en la figura.

  • Se dibujan los ejes horizontal X y vertical Y.
  • Se calculan las componentes rectangulares de la velocidad y de la aceleración en dicho instante. Se representan los vectores velocidad y aceleración en dicho sistema de referencia.
  • Se dibujan los nuevos ejes, la dirección tangencial es la misma que la dirección de la velocidad, la dirección normal es perpendicular a la dirección tangencial.
  • Con la regla y el cartabón se proyecta el vector aceleración sobre la dirección tangencial y sobre la dirección normal.
  • Se determina el ángulo q entre el vector velocidad y el vector aceleración, y se calcula el valor numérico de dichas componentes: at=a cosq  an=a senq

Ejemplo:

El vector velocidad del movimiento de una partícula viene dado por v=(3t-2)i+(6t2-5)j m/s. Calcular las componentes tangencial y normal de la aceleración en el instante t=2 s. Dibujar el vector velocidad, el vector aceleración y las componentes tangencial y normal en dicho instante.

  1. Dadas las componentes de la velocidad obtenemos las componentes de la aceleración

vx =3t-2 m/s,   ax=3 m/s2
vy=6t2-5 m/s,  ay=12t m/s2

  1. Los valores de dichas componentes en el instante t=2 s son

vx =4 m/s,   ax=3 m/s2
vy=19 m/s,  ay=24 m/s2

  1. Dibujamos el vector velocidad y el vector aceleración

  1. Calculamos el ángulo q  que forman el vector velocidad y el vector aceleración
  • Por el producto escalar: v·a=v·a·cosq
  • Calculando el ángulo que forma cada vector con el eje X, y restando ambos ángulos
  1. Se calculan las componentes tangencial y normal de la aceleración

at=a·cosq =24.1 m/s2
an=a·senq=2.0 m/s2

Podemos hallar la aceleración tangencial en cualquier instante, a partir del producto escalar del vector aceleración a y el vector velocidad v.

v·a=va·cosθ=v·at

La aceleración normal, se obtiene a partir del módulo de la aceleración a y de la aceleración tangencial at

Radio de curvatura

En la figura, se muestra el radio de curvatura y el centro de curvatura de una trayectoria cualesquiera en el instante t. Se dibuja la dirección del vector velocidad v en el instante t, la dirección del vector velocidad v+dv en el instante t+dt. Se trazan rectas perpendiculares a ambas direcciones, que se encuentran en el punto C denominado centro de curvatura. La distancia ente entre la posición del móvil en el instante t, y el centro de curvatura C es el radio de curvatura ρ.

En el intervalo de tiempo comprendido entre t y t+dt, la dirección del vector velocidad cambia un ángulo . que es el ángulo entre las tangentes o entre las normales. El móvil se desplaza en este intervalo de tiempo un arco ds=ρ·dθ,  tal como se aprecia en la figura.

Otra forma de obtener las componentes tangencial y normal de la aceleración, es la de escribir el vector velocidad v como producto de su módulo v por un vector unitario que tenga su misma dirección y sentido ut=v/v. La derivada de un producto se compone de la suma de dos términos

El primer término, tiene la dirección de la velocidad o del vector unitario ut, es la componente tangencial de la aceleración

El segundo término, vamos a demostrar que tiene la dirección normal un. Como vemos en la figura las componentes del vector unitario ut son

ut=cosθ·i+senθ·j

Su derivada es

El vector aceleración es

Las componentes tangencial y normal de la aceleración valen, respectivamente

Esta última fórmula, la obtuvimos de una forma más simple para una partícula que describía un movimiento circular uniforme.

Como la velocidad es un vector, y un vector tiene módulo y dirección. Existirá aceleración siempre que cambie con el tiempo bien el módulo de la velocidad, la dirección de la velocidad o ambas cosas a la vez.

  • Si solamente cambia el módulo de la velocidad con el tiempo, como en un movimiento rectilíneo, tenemos únicamente aceleración tangencial.
  • Si solamente cambia la dirección de la velocidad con el tiempo, pero su módulo permanece constante como en un movimiento circular uniforme, tenemos únicamente aceleración normal.
  • Si cambia el módulo y la dirección de la velocidad con el tiempo, como en un tiro parabólico, tendremos aceleración tangencial y aceleración normal..