Deducción alternativa de las fórmulas de la aceleración tangencial y normal

prev.gif (1231 bytes)home.gif (1232 bytes)next.gif (1211 bytes)

Cinemática

Movimiento circular
Movimiento circular
Encuentro de dos
vehículos
Relación entre las 
magnitudes lineales
y angulares
Cinta de casete
La aceleración normal
marca.gif (847 bytes)Deducción alternativa
  de at y an.
Movimiento circular uniforme. Aceleración normal

Movimiento circular no uniforme. Aceleración tangencial y normal

Deducción alternativa de las fórmulas de la aceleración tangencial y normal

Deducción alternativa de la aceleración normal (I)

Deducción alternativa de la aceleración normal (II)

Referencias

 

Es interesante explorar otras deducciones alternativas de las fórmula de la aceleración normal.  En este caso, se presenta una deducción que tiene la ventaja de que se puede extender a movimientos circulares no uniformes. Estas deducciones se pueden comparar con las realizadas en las páginas tituladas "Relación entre las magnitudes angulares y lineales" y Deducción de la fórmula de la aceleración normal siguiendo el procedimiento de Newton.

Al final de esta página, se describen las deducciones más simples de la fórmula de la aceleración normal para un movimiento circular uniforme que se han encontrado.

 

Movimiento circular uniforme. Aceleración normal

Consideremos que una partícula describe un movimiento circular de radio r con velocidad constante v.

acel_normal3.gif (3683 bytes)

La partícula se encuentra en la posición A en el instante t-Dt/2, y su velocidad (tangente a la trayectoria) es v1. La partícula se encuentra en la posición simétrica B en el instante t+Dt/2 y su velocidad es v2.

Coloquemos los dos vectores velocidad v1 y v2 que tienen la misma longitud v con vértice en el punto P y calculamos las componentes radial o normal y tangencial del vector diferencia Dv=v2-v1.

  • Componente normal

(Dv)n=v2·senf -v1·sen(-f )=2senf

  • Componente tangencial

(Dv)t=v2·cosf -v1·cos(-f )=0

Por tanto el vector Dv es paralelo a la dirección radial PO, y está dirigido hacia el centro O.

Como la partícula recorre el arco AB de ángulo 2f con velocidad v constante.

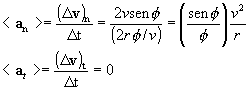
El valor medio de la componente normal de la aceleración es por tanto,

La componente normal de la aceleración instantánea es el límite de la aceleración media cuando el intervalo de tiempo Dt® 0, o bien cuando f ® 0. En este límite, senf /f ® 1 y por tanto, la componente normal de la aceleración en el instante t o en el punto P es

Naturalmente, la componente tangencial de la aceleración es cero en dicho instante, at=0.

 

Movimiento circular no uniforme. Aceleración tangencial y normal

Supongamos que la partícula pasa por el punto A en el instante t-Dt1 y lleva una velocidad v1 (tangente a la trayectoria), y pasa por el punto simétrico B en el instante t-Dt2 llevando una velocidad v2. Como el movimiento no es uniforme los módulos de las velocidades serán diferentes.

Calculamos las componentes radial o normal y tangencial del vector diferencia Dv=v2-v1.

  • Componente normal

(Dv)n=v2·senf -v1·sen(-f )=2(v2+v1senf

  • Componente tangencial

(Dv)t=v2·cosf -v1·cos(-f )= (v2-v1) cosf

Al no ser los vectores velocidad de igual módulo, el vector diferencia Dv y por tanto la aceleración no tienen en general, dirección radial.

La partícula recorre el arco AB de ángulo 2f empleando un tiempo Dt=Dt1+ Dt2. La velocidad media <v> de la partícula en este intervalo de tiempo es

La componente normal y tangencial de la aceleración serán por tanto,

En el límite cuando el intervalo de tiempo Dt® 0, o bien cuando f ® 0, se cumple que, senf / f ® 1, cosf ® 1. La velocidad media <v>® v es la velocidad en el instante t cuando el móvil pasa por P, y también la velocidad promedio (v1+v2)/2® v.

De este modo obtenemos la misma fórmula de la componente normal de la aceleración que en el apartado anterior.

En cuanto a la componente tangencial, el numerador es un cambio infinitesimal en el módulo de la velocidad dv y el denominador es el tiempo dt que tarda la partícula en efectuar dicho cambio.

Las componentes de la aceleración serán, por tanto,

 

Deducción alternativa de las fórmulas de la aceleración tangencial y normal

En la figura, la partícula se encuentra en el instante t en el punto P, formando un ángulo q con el eje X.

El vector posición r de la partícula es

r=xi+yj=cosq i+senq j

El vector velocidad v se obtiene derivando el vector posición respecto del tiempo

El vector aceleración se obtiene derivando el vector velocidad

El vector aceleración tiene dos componentes, que podemos expresar en virtud de las relaciones entre magnitudes angulares y lineales de dos formas.

La componente radial está dirigida hacia le centro de la circunferencia

an=w2r=v2/r,

La componente tangencial tiene la dirección de la velocidad, tangente a la trayectoria

at=a r=dv/dt.

 

Deducción alternativa de la aceleración normal (I)

Supongamos que el cuerpo describe un movimiento circular de radio r con velocidad constante v.

El vector velocidad v es tangente a la trayectoria y es perpendicular al vector posición r.

Las componentes rectangulares del vector velocidad v son

Como v/r es constante, las componentes del vector aceleración a son

El módulo de la aceleración a en el movimiento circular uniforme es

Su dirección es radial (la misma que el vector r) y su sentido es hacia el centro (de sentido contrario al vector r).

 

Deducción alternativa de la aceleración normal (II)

En esta sección, se describe la deducción más simple que se ha encontrado de la fórmula de la aceleración normal en un movimiento circular uniforme

El vector velocidad v se define

Su módulo para un movimiento circular uniforme es

Siendo P el periodo o tiempo que tarda en completar una vuelta

Su dirección es tangente a la trayectoria, es decir, perpendicular al vector r

El vector aceleración a se define 

El vector aceleración a se obtiene a partir del vector velocidad v, de la misma manera que el vector velocidad v se obtiene a partir del vector posición r. Su módulo será, análogamente,

Su dirección es tangente a la circunferencia de radio v, es decir perpendicular al vector v. Como vemos en la figura, los vectores a y r tienen la misma dirección pero sentidos contrarios.

 

Referencias

Leff H. Acceleration for circular motion. Am. J. Phys. 70 (5) May 2002. pp. 490-492

Ninio F. Acceleration in uniform circular motion. Am. J. Phys. 61 (11) November 1993, pp. 1052

Brownstein K. R. A simple derivation of centripetal acceleration. Am. J. Phys. 62 (10) October 1994, pp. 946