Encuentros de dos vehículos en movimiento circular

prev.gif (1231 bytes)home.gif (1232 bytes)next.gif (1211 bytes)

Cinemática

Movimiento circular
Movimiento circular
marca.gif (847 bytes)Encuentro de dos
  vehículos
Relación entre las 
magnitudes lineales
y angulares
Cinta de casete
La aceleración normal
Deducción alternativa
de at y an.
Encuentro de dos vehículos en movimiento rectilíneo

java.gif (886 bytes) Problema de encuentro de dos vehículos en movimiento circular

java.gif (886 bytes) Encuentros de dos vehículos en movimiento circular

 

Como introducción vamos a plantear problemas de encuentro entre dos vehículos en movimiento rectilíneo para que podamos compararlos con los encuentros que tienen lugar cuando los vehículos se mueven en una trayectoria circular.

 

Encuentro de dos vehículos en movimiento rectilíneo

Un automóvil que está parado, arranca con una aceleración de 1.5 m/s2. En ese mismo instante es adelantado por un camión que lleva una velocidad constante de 15 m/s. Calcular la posición de encuentro de ambos vehículos

Escribimos las ecuaciones del movimiento de cada uno de los vehículos

x1=15·t
x2=
1.5t2/2

La posición de encuentro x1=x2 da lugar a la ecuación de segundo grado

0.75t2-15t=0

cuyas soluciones son t=0, y t=20.

El instante de encuentro es  te=20s, y la posición de encuentro xe=300 m medida desde la salida.

Solución gráfica

  • Si trazamos x1en función del tiempo t, obtenemos la línea recta de color azul.
  • Si trazamos x2 en función del tiempo t, obtenemos la curva de color rojo (una parábola)

El punto de intersección señala el instante te de encuentro y la posición xe de encuentro.

Veamos ahora este otro problema algo más complejo

Dos proyectiles se lanzan verticalmente hacia arriba con dos segundos de intervalo. El primero, con una velocidad inicial de 50 m/s y el segundo con una velocidad inicial de 80 m/s. Calcular el instante y la altura a la que se encuentran

Cuando el primer proyectil lleva un tiempo t>2 moviéndose, el segundo proyectil lleva un tiempo t-2 en el aire. Las ecuaciones del movimiento serán:

x1=50·t-9.8t2/2
x2=
80(t-2)-9.8(t-2)2/2

El instante y la altura de encuentro se pueden calcular resolviendo la ecuación de te=3.62 s, xe=116.8 m

Solución gráfica

  • Si trazamos x1en función del tiempo t, obtenemos la curva de color azul.
  • Si trazamos x2 en función del tiempo t, obtenemos la curva de color rojo

El punto de intersección señala el instante te de encuentro y la posición xe de encuentro.

Problema de encuentro de dos vehículos en movimiento circular

circular1.gif (699 bytes) Dos vehículos describen la misma trayectoria circular. El primero, está animado de un movimiento uniforme cuya velocidad angular es 60 r.p.m., el segundo está animado de un movimiento uniformemente acelerado cuya aceleración angular vale -p/6 rad/s2. Sabiendo que en el instante inicial el primer móvil pasa por A, y dos segundos más tarde el segundo móvil pasa por B, llevando una velocidad angular de 120 r.p.m. Calcular:
  • El instante en el que los móviles se encuentran por primera vez

Veamos el movimiento antes de explicar el planteamiento del problema

Ecuaciones del movimiento de A: movimiento circular uniforme

El móvil sale del origen en el instante t=0.

aA=0
wA=
2p
q
A=2p t

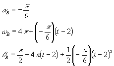
Ecuaciones del movimiento de B: movimiento uniformemente acelerado

El móvil sale de la posición p/2 en el instante t=2s.

Encuentros

Los encuentros no solamente se obtienen igualando las posiciones de ambos móviles qA=q B, sino también y por ser la trayectoria circular, aquellas cuya posición se diferencia en una circunferencia completa.

qA+2kp =qB con k=0, ± 1, ± 2, ± 3...

Examinemos en un cuadro la posición de los dos móviles en función del tiempo

t qA qB  
2 4p (2 vueltas) p /2 Sale el móvil B
2.5 5p (4p +p ) 2.48p (2p +0.48p ) B detrás de A
2.6 5.2p (4p +1.2p ) 2.87p (2p +0.87p ) B detrás de A
2.7 5.4p (4p +1.4p ) 3.26p (2p +1.26p ) B detrás de A
2.8 5.6p (4p +1.6p ) 3.64p (2p +1.64p ) B delante de A

Tal como apreciamos en la tabla de las posiciones de los móviles A y B en función del tiempo, el móvil B pasa al móvil A entre los instantes 2.7 y 2.8. El momento en el que se produce el primer encuentro será un instante t a determinar en el intervalo de tiempo comprendido entre 2.7 y 2.8 s.

La relación que existe entre las posiciones del móvil A y del móvil B, tal como vemos en la tabla es

qA-2p =qB

Despejando el tiempo t en la ecuación de segundo grado, obtenemos el instante del primer encuentro t=2.77 s.

Introduciendo t en la ecuación de la posición de A y de B obtenemos la posición de los móviles en el instante del encuentro

qA=5.56p rad
q
B
=3.56p rad

 

Encuentros de dos vehículos en movimiento circular

El applet que hemos presentado a principio de la página solamente sirve para describir el enunciado del problema. Podemos usar el applet que viene a continuación para resolver cualquier problema de encuentros en general.

Ecuaciones del movimiento del primer cuerpo

Ecuaciones del segundo cuerpo

donde t0 es el tiempo que tarda el segundo móvil en inicial el movimiento

La particularidad del applet es que en los controles de edición no solamente se pueden introducir números, sino también fracciones del número p. Por ejemplo si la velocidad de un móvil es:

  • p/2, se introduce pi/2.
  • 3p/2, introducimos 3*pi/2 o bien, 3pi/2.
  • p, introducimos pi o PI.

El programa convierte el texto en un número decimal de doble precisión.

Se introduce

Para el primer móvil (color rojo)

  • La posición angular inicial θ01 de partida en el instante t=0, en el control de edición titulado posición
  • La velocidad angular inicial ω01 en el instante t=0, en el control de edición titulado velocidad
  • La aceleración angular α1, en el control de edición titulado aceleración

Para el segundo móvil (color azul)

  • La posición angular inicial θ02 de partida en el instante t=t0, en el control de edición titulado posición
  • La velocidad angular inicial ω02 en el instante t=t0, en el control de edición titulado velocidad
  • La aceleración angular α2, en el control de edición titulado aceleración

El tiempo t0, en el control de edición titulado tiempo de retraso

Finalmente, el intervalo de tiempo entre dos posiciones consecutivas de cada uno de los móviles en el área de trabajo del applet.