Órbita de transferencia de Hohmann

prev.gif (1231 bytes)home.gif (1232 bytes)next.gif (1211 bytes)

Dinámica celeste

Leyes de Kepler
El descubrimiento de
la ley de la gravitación
Fuerza central y
conservativa
Ecuación de la trayectoria
Solución numérica de
las ecuaciones
Trayectorias hiperbólicas
marca.gif (847 bytes)Órbita de transferencia
Encuentros espaciales
Trayectoria espiral
Encuentro de una sonda
espacial con Júpiter
Orbitas de la misma
energía
Trayectoria de un 
proyectil (I)
Trayectoria de un 
proyectil (II)
Movimiento relativo
Caída de un satélite en
órbita hacia la Tierra.
Los anillos de un planeta
Movimiento bajo una
fuerza central y una
perturbación
El problema de Euler
Viaje a la Luna
Descripción

Ejemplo

java.gif (886 bytes) Actividades

 

Supongamos que queremos enviar una nave espacial desde la órbita de un planeta a la de otro o bien, elevar un satélite de comunicaciones desde una órbita circular ecuatorial de baja altura a otra órbita coplanar y circular de mayor altura.

Para economizar el combustible, es necesario que la nave espacial siga una trayectoria semielíptica denominada órbita de transferencia de Hohmann para lo que es necesario proporcionarle dos impulsos:

  • En el punto A cuando la nave espacial pasa de la órbita circular interior a la órbita de transferencia.
  • En la posición B, cuando la nave espacial pasa de la órbita de transferencia a la órbita circular exterior.

 

Kepler33.gif (3543 bytes)

Descripción

Para resolver el problema propuesto, solamente es necesario hacer uso de las propiedades central y conservativa de la fuerza de atracción que hemos estudiado en páginas anterirores, y de la dinámica del movimiento circular uniforme.

Órbita circular interior

kepler32.gif (1278 bytes) Cuando la nave espacial describe una órbita circular de radio rA, el módulo de la velocidad vA se puede calcular aplicando la dinámica del movimiento circular uniforme

(1)

Donde M es la masa de la Tierra, G es la constante de la gravitación universal, y m es la masa de la nave que se simplifica en las ecuaciones del movimiento.

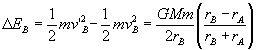
La energía E1 de la nave espacial en la órbita circular inicial es

la mitad de la energía potencial

Órbita semielíptica de transferencia

Para calcular la velocidad que debe llevar la nave espacial en el punto A para que alcance la órbita exterior en B, basta aplicar las propiedades central y conservativa de la fuerza de atracción.

kepler31.gif (1192 bytes)

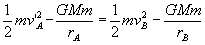
Por la propiedad de la fuerza central, el momento angular es constante y por tanto, tiene el mismo valor en A que en B

Por la propiedad de fuerza conservativa, la energía es constante en todos los puntos de la trayectoria, y en particular es la misma en A que en B.

Conocidos rA y rB podemos calcular en este par de ecuaciones las incógnitas v’A y vB.

                     (2)

La energía de la nave espacial es constante en todos los puntos de la trayectoria e igual a

La energía que hemos de suministrar al satélite en la posición A para que pase de la órbita circular a la trayectoria de transferencia es la diferencia E2-E1 o bien,

 

Órbita circular exterior

Una vez que la nave espacial llega al punto B, ha de cambiar su velocidad para seguir la trayectoria circular de radio rB. De nuevo, aplicando la dinámica del movimiento circular uniforme tenemos.

  (3)

La energía E3 de la nave espacial en la órbita circular final es

La energía que hemos de suministrar al satélite para que pase de la órbita de transferencia elíptica a la órbita circular de radio rB es la diferencia E3-E2 o bien,

El tiempo que tarda la nave espacial en pasar del punto A al punto B principio y fin de la trayectoria de transferencia, es la mitad del periodo P.

Siendo a, el semieje mayor de la elipse.

 

Combustible gastado por la nave espacial

Supondremos que la nave espacial cambia de velocidad en los puntos A y B mediante sendos impulsos, de duración muy corta, por lo que no tendremos en cuenta la acción del peso.

Al estudiar la dinámica de un cohete, calculamos la cantidad de combustible m0-m que ha de gastar una nave espacial para incrementar su velocidad en v-v0

(4)

donde u es la velocidad de escape de los gases al quemarse el combustible, m0 es la masa inicial y m es la masa final y Δv=v-v0 es la variación de velocidad.

La variación total de velocidad que experimenta la nave espacial en los puntos A y B es la suma

A partir de la expresión (4), podemos hallar la masa final m conocida la masa inicial m0, y el cambio de velocidad Δv que experimenta la nave espacial al pasar de la órbita interior a la exterior.

 

Ejemplo

Para situar un satélite de comunicaciones en órbita geosíncrona a 35770 km de altura sobre la superficie terrestre se emplea un remolcador espacial. Sabiendo que inicialmente el remolcador describe una órbita circular a 350 km de altura, determinar

  • La velocidad que debe tener el remolcador en el punto A para transferirlo a la órbita elíptica de transición
  • La velocidad que es necesario proporcionarle en el punto B para transferirlo finalmente a la órbita geoestacionaria
  • Calcular la energía que es necesario suministrar a un satélite de masa m para transferirlo desde la órbita circular a baja altura a la órbita geoestacionaria

Datos

  • Masa de la Tierra, M=5.98·1024 kg.
  • Constante de la gravitación universal, G=6.67·10-11 Nm2/kg2
  • Radio de la Tierra, R=6370 km

En primer lugar, transformamos las alturas de las órbitas en distancias al centro de la Tierra, rA=(350+6370)·1000 m, rB=(35770+6370)·1000 m.

  1. Mediante la fórmula (1), calculamos la velocidad del satélite en la órbita circular de 350 km de altura, vA =7704.22 m/s. La energía inicial es E1=-29.68·106·m J ( m es la masa de la nave espacial)
  1. Mediante las fórmulas (2), calculamos la velocidad que debe alcanzar  v’A =10118.5 m/s, para transferirlo a la órbita de transición, y la velocidad del satélite al finalizar dicha órbita elíptica, vB =1613.6 m/s. La energía de la nave espacial es E2=-8.16·106·m J. El tiempo que tarda la nave espacial en describir la órbita de transferencia es de 18994.2 s.
  1. Mediante la fórmula (3), calculamos la velocidad del satélite en la órbita geoestacionaria, v’B =3076.6 m/s. La energía de la nave espacial es esta órbita es E3=-4.73·106·m J
  • La variación de energía cinética DEA, es la energía que debemos suministrar al satélite para que pase de la órbita circular de baja altura a la órbita elíptica de transición, DEA=21.5 106 m J.
  • La variación de energía cinética DEB, es la energía que debemos suministrar al satélite para que pase de la órbita elíptica de transición a la órbita circular de mayor altura, DEB=3.43 106 m J.
  • La energía total que tenemos que suministrar al satélite será la suma de ambas cantidades DE=DEA+DEB =24.9 106 m J.

 

Actividades

Se introduce

  • La altura en km de las órbita circular interior, en el primer control de edición titulado Altura-A
  • La altura, menor que 36000 km, de las órbita circular exterior, en el segundo control de edición titulado Altura-B

 Se pulsa el botón titulado Inicio

Podemos ver a la nave espacial, representada por un pequeño círculo de color negro, describiendo la órbita circular alrededor de la Tierra. La velocidad vA que tiene la nave en dicha órbita se muestra en el control de edición titulado Velocidad-A.

Se introduce

  • La velocidad v’A en m/s, que debe llevar la nave espacial en el punto A para que describa la órbita de transferencia, en el control de edición titulado Velocidad-A.

Se pulsa el botón titulado Lanzar.

Si la nave espacial no llega a la órbita exterior o la sobrepasa, se debe de intentar de nuevo la operación.

Cuando la nave espacial alcanza la órbita exterior en el punto B, se muestra la velocidad de la nave vB en dicha posición en el segundo control de edición titulado Velocidad-B.

Se introduce

  • La velocidad v’B en m/s, que debe llevar la nave espacial en el punto B para que describa la órbita circular exterior de radio rB, en el control de edición titulado Velocidad-B.

Se pulsa el botón titulado Situar.

Si no tiene éxito la operación, se traza la trayectoria elíptica seguida por la nave espacial. Si tiene éxito, se podrá ver a la nave espacial describiendo la órbita circular exterior.

En la parte superior izquierda del applet, se muestra el tiempo trascurrido desde el lanzamiento de la nave espacial, y la velocidad a medida que describe la órbita de transferencia. En la parte derecha del applet, se muestra la energía potencial, la cinética y total de la nave espacial. La energía total se expresa en unidades de 106 J. Fijarse que la energía total de la nave en órbita circular es la mitad de su energía potencial.

Nota: Al resolver numéricamente las distintas situaciones se debe tener en cuenta que en los controles de edición situados a la izquierda y titulados Altura (km) se introducen las alturas (no los radios) de las órbitas sobre la superficie de la Tierra. Para realizar los cálculos, tenemos que sumarle a dichas cantidades el radio de la Tierra 6370 km y pasar el resultado a metros.