El resonador de Helmholtz

prev.gif (1231 bytes)home.gif (1232 bytes)next.gif (1211 bytes)

Movimiento ondulatorio

Acústica
Ondas estacionarias
en tubos
Velocidad del sonido
en una barra
Velocidad del sonido
en un gas
marca.gif (847 bytes)El resonador de
  Helmholtz
Análisis de Fourier
Efecto Doppler (I)
Efecto Doppler (II)
Efecto Doppler (III)
Fundamentos físicos

java.gif (886 bytes)Dispositivo experimental

java.gif (886 bytes)Determinación del volumen de un líquido en una botella

Referencias

 

En esta página, se describe un experimento de medida de la velocidad del sonido mediante un resonador de Helmholtz. Su frecuencia de resonancia depende de las dimensiones de la cavidad y de la velocidad de propagación del sonido.

 

Fundamentos físicos

Un resonador ideal consiste en una cavidad de volumen V con un cuello de área S y de longitud L. Si la longitud de onda l es mucho más grande que sus dimensiones L, S1/2 y V1/3, el aire del cuello se mueve como un bloque de masa m.
El aire contenido en el gran volumen V0 actúa como un muelle de constante elástica k que está unido a un bloque de masa m que es el aire del cuello de la botella.

La deducción de la frecuencia de oscilación es similar a la empleada para calcular la frecuencia de las oscilaciones de una esfera en el experimento de la medida del índice adiabático de un gas ideal.

 

Transformación adiabática

Si suponemos que la oscilación transcurre muy rápidamente, los cambios de presión y de volumen del gas del recipiente, se describen mediante un proceso adiabático. La relación entre la presión y el volumen del gas para dicho proceso viene dada por la ecuación.

donde V es el volumen del gas, p la presión y g el índice adiabático del gas.

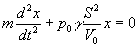
Cuando la porción de aire en el cuello de la botella, se ha desplazado x de la posición de equilibrio, el volumen se ha reducido en V0-Sx y la presión a cambiado a p de modo que

Despejando p

Dado que S·x<< V0. El desarrollo del binomio de Newton (a+b)n hasta el primer término, nos da la presión aproximada p.

resonador2.gif (2030 bytes) La fuerza neta que actúa sobre dicha porción de aire de masa m será

La fuerza F es proporcional al desplazamiento x  y de sentido contrario a éste, un claro signo de que la porción de aire describe un M.A.S.

Cuando la masa m de aire (en color azul) se desplaza hacia la derecha, la presión aumenta, la fuerza sobre la partícula está dirigida hacia la izquierda. Cuando la masa m se desplaza hacia la izquierda la presión disminuye, la fuerza sobre la partícula es hacia la derecha. Por tanto, la fuerza sobre la partícula es de sentido contrario al desplazamiento, una de las características del M.A.S.

 

Oscilaciones armónicas

La segunda ley de Newton se escribe

Ecuación diferencial de un Movimiento Armónico Simple (M.A.S.) de frecuencia

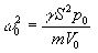
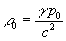
Teniendo en cuenta que la fórmula de la velocidad del sonido en un gas de presión p0 y densidad r0 es

y que la partícula de masa m es aquí el aire contenido en el cuello de la botella

m=r0·SL

Obtenemos la expresión de la frecuencia angular w0 de las oscilaciones de dicha masa de aire

La fórmula aplicable experimentalmente es

Donde Le=L+DL es la longitud efectiva del cuello. La longitud efectiva Le es la longitud real L del cuello más alrededor de 0.7 de radio del cuello r a cada lado, es decir, Le=L+1.4·r, este factor puede variar de 1.3 a 1.7.

En la experiencia simulada, no tendremos en cuenta esta corrección y usaremos la expresión de w0 para el resonador ideal.

 

Dispositivo experimental

resonador1.gif (3078 bytes)

En la figura, se dibuja el esquema del dispositivo experimental descrito en el artículo mencionado en la referencia

SE coloca un altavoz en el extremo de un tubo de acero de L=1.5 m de longitud y St=48 cm2 sección. Hacia la mitad del tubo se coloca un micrófono a la derecha del cual se rellena el tubo con fibra de vidrio para amortiguar el sonido.

El resonador es un recipiente cilíndrico de V0=339.0 cm3 de volumen, tiene la característica de que se le pueden acoplar cuellos de distinta longitud L. La sección S del cuello es de 4.9 cm2.

El altavoz está conectado a un generador que produce ondas senoidales de frecuencias comprendidas entre 100 y 700 Hz. Se mide la señal recogida por el micrófono mediante un voltímetro.

Para este dispositivo la curva de resonancia de la intensidad del sonido I tiene forma Lorentziana, y está dada por

donde S es la sección del cuello del resonador, L su longitud, St es la sección del tubo y c la velocidad del sonido

 

Actividades

El applet simula las características esenciales de este experimento. Cambiando la longitud del cuello L del resonador se mide la frecuencia de resonancia w0. A partir de las medidas de varias frecuencias de resonancia se obtiene la velocidad del sonido en el aire.

El programa interactivo genera el valor de la velocidad del sonido en el aire, un número al azar comprendido entre 330 y 370.

Se introduce

  • la longitud del cuello L en el intervalo comprendido entre 1.5 y 4.5 cm,

Se pulsa el botón titulado Empieza.

El generador hace un barrido de frecuencias entre 100 y 600 Hz, y se recoge la respuesta del micrófono, dibujándose la curva de resonancia de la intensidad I del sonido.

Se sitúa el puntero del ratón en la frecuencia que señala el mínimo de intensidad y se pulsa el botón izquierdo del ratón.

En el área de texto situado a la izquierda del applet se guardan los resultados experimentales (longitud del cuello L, frecuencia de resonancia f0)

Cuando tengamos suficientes datos, se pulsa el botón titulado Gráfica, y se representa los datos experimentales y la recta que mejor ajusta a dichos datos. El programa interactivo calcula el valor de la pendiente de dicha recta.

Conocida la pendiente podemos determinar la velocidad del sonido mediante la fórmula

La gráfica representa en el eje vertical la frecuencia en Hz, y en el eje horizontal la inversa de la raíz cuadrada de la longitud del cuello expresada en cm-1/2.

Ejemplo.

Supongamos que hemos realizado un experiencia y la pendiente de la recta de ajuste nos ha dado 666.48 determinar la velocidad del sonido

Una vez obtenida la velocidad de propagación del sonido, se podría estimar la densidad del aire a partir de la fórmula de la velocidad de propagación del sonido en un gas

siendo p0=101300 Pa la presión atmosférica, y g =1.4 el índice adiabático. En el capítulo de Termodinámica se describen dos experiencias para realizar esta medida:

Situar el puntero del ratón en la frecuencia que señala el mínimo de intensidad y pulsar el botón izquierdo del ratón.

                                     

 

Determinación del volumen de líquido en una botella

En esta “experiencia” se tratará de medir el volumen de líquido que hay en una botella a partir del volumen conocido de una botella idéntica vacía.

Consideremos dos botellas iguales con diferentes volúmenes de aire V1 y V2. Las frecuencias de resonancia serán respectivamente.

  • S es el área de la sección del cuello

  • V1,2 es el volumen de aire en las botellas

  • Le es la longitud efectiva del cuello

  • c es la velocidad del sonido en el aire

El cociente entre las dos frecuencias depende únicamente de sus volúmenes

Midiendo las frecuencias de resonancia ω1 y ω2, conocido el volumen de la botella vacía V1 se determina el volumen V2 de aire en la segunda botella.

Situamos un micrófono a igual distancia de las dos botellas y conectamos el micrófono a la tarjeta de sonido de un ordenador. Soplamos simultáneamente en las dos botellas y observamos en la pantalla del ordenador la superposición de los dos movimientos ondulatorios procedentes de cada una de las botellas en la posición del micrófono. Como el micrófono está a igual distancia de las bocas de las dos botellas supondremos que las amplitudes son iguales.

En la posición del micrófono, tendremos la superposición de dos Movimientos Armónicos Simples (MAS) de la misma amplitud A pero de distinta frecuencia.

ψ1=Asen(ω1·t)
ψ2=Asen(
ω2·t)

El MAS resultante es

Cuya amplitud depende del tiempo (el primer factor coseno), y cuya frecuencia es la media aritmética de las dos frecuencias ω1 y ω2

Medimos

  • el periodo Po de una oscilación (en color azul), el intervalo de tiempo entre dos picos o dos valles consecutivos.

  • el periodo Pa de la amplitud modulada (en color rojo)

Despejamos el volumen V2 conocido el volumen V1

Ejemplo

El volumen V1 de la botella vacía es 0.7 litros

Medimos

  • el periodo Po de una oscilación (en color azul), Po=0.008 s

  • el periodo Pa de la amplitud modulada (en color rojo), Pa=0.089 s

El volumen de líquido en la botella es 0.7-0.49=0.21

Actividades

  • Se mueve con el puntero del ratón la flecha de color rojo para establecer el volumen del líquido en la segunda botella

  • La primera botella está vacía, su volumen es de 0.7  litros.

Se pulsa el botón titulado Empieza

Se observa en la “pantalla del ordenador” la composición de los dos MAS de la misma dirección y distinta frecuencia (en color azul).

  1. Se mide el tiempo de varias oscilaciones y se determina el periodo Po de una oscilación.

Se activa la casilla titulada Ver amplitud, se representa la amplitud de la oscilación (en color rojo)

  1. Se mide el periodo completo Pa, la mitad o un cuarto, dependiendo del volumen de agua en la segunda botella.

Mover con el puntero del ratón la flecha de color rojo

 

Referencias

Primera "experiencia"

Tang S. H., Tan H.S., Tan K. L. Hsu T.S. Velocity of sound and resonance absorption determination from a low-cost Helmholtz experiment. Eur. J. Phys. (6) 1985,  pp.134-138

Segunda "experiencia"

Alba J., Ramis J., Martínez J. A., Pico R., Escuder E., Aplicación de los fenómenos ondulatorios de batido y resonancia para la determinación del volumen de líquido en una botella. Revista Española de Física, V 18, nº 3, 2004, págs. 51-53