Efecto Doppler acústico con eco

prev.gif (1231 bytes)home.gif (1232 bytes)next.gif (1211 bytes)

Movimiento ondulatorio

Acústica
Ondas estacionarias
en tubos
Velocidad del sonido
en una barra
Velocidad del sonido
en un gas
El resonador de
Helmholtz
Análisis de Fourier
Efecto Doppler (I)
marca.gif (847 bytes)Efecto Doppler (II)
Efecto Doppler (III)
Descripción

Actividades

Referencias

 

En esta página, estudiamos el efecto Doppler debido al sonido producido por un emisor que se mueve a lo largo de una línea recta con velocidad vE>0. El sonido choca con un reflector que se mueve en la misma dirección con velocidad vR. El observador que se mueve con velocidad vO mide la frecuencia f del sonido reflejado. Supondremos que las velocidades del emisor, observador y reflector son menores que las del sonido vS.

Estudiaremos especialmente dos situaciones:

  • El observador en reposo en el origen

  • El observador coincide con el emisor (caso de los murciélagos)

Siguiendo el mismo procedimiento de las páginas previas, vamos a deducir la relación entre la frecuencia del sonido emitido f0 y la frecuencia f del sonido escuchado por el observador.

 

Descripción

El emisor produce un movimiento ondulatorio armónico de frecuencia f0 y longitud de onda λ0=vs/f0.

  • En el instante t=0, el emisor se encuentra en el origen O y emite la primera señal.

  • En el instante t1 llega al reflector, se refleja y es captada por el observador en el instante t’1

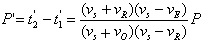
  • En el instante P=1/f0 se emite la segunda señal cuando el emisor se encuentra a una distancia vEP del origen, llega al reflector en el instante t2 y el captada por el observador en el instante t’2. El periodo del movimiento ondulatorio armónico medido por el observador es P’=t’2-t’1.

Primera señal

Supongamos el reflector en el instante inicial t=0, se encuentra a una distancia d del origen. Se emite la primera señal que viaja por el aire hasta que se encuentra con el reflector en el instante t1.

vs·t1=d+vR·t1

La señal se refleja en el instante t1 y se mueve hacia la izquierda con la misma velocidad vs, recorriendo un camino más pequeño debido a que el observador se ha desplazado. La señal es captada por el observador O en el instante t’1

d+vR·t1-vOt’1=vs(t’1-t1)

Despejamos t'1 en el sistema de dos ecuaciones

Segunda señal

La segunda señal, se emite en el instante P, el emisor se encuentra a una distancia vEP del origen. La señal viaja por el aire hasta que se encuentra con el reflector en el instante t2.

d-vEP+vR·t2=vs·(t2-P)

 

La señal se refleja y se mueve hacia la izquierda con la misma velocidad vs, hasta que es captada por el observador O en el instante t’2

d-v0t’2+vR·t2=vs·(t’2-t2)

Despejamos t'2 en el sistema de dos ecuaciones

Periodo P' medido por el observador

El periodo P’ del movimiento ondulatorio armónico medido por O es

Sabiendo que f=1/P’ y f0=1/P, La relación de frecuencias es

 

Ejemplo

La velocidad del sonido se ha fijado en vs=1.0.

Emisor en reposo

Cuando el emisor se encuentra en reposo vE=0, el movimiento ondulatorio armónico tiene un periodo P=1 y una longitud de onda λ=vs·P=1. La onda llega al reflector y cambia de frecuencia, aumentando si se acerca el emisor y disminuyendo si se aleja del emisor, tal como se aprecia en la figura

  • Si la velocidad del reflector vR=0.2 (se aleja), el emisor se encuentra en reposo vE=0, y el observador se encuentra en reposo vO=0, entonces f=(1-0.2)/(1+0.2)=2/3. La longitud de onda es λ=vs/f=1.5  (figura inferior)

  • Si la velocidad del reflector vR=-0.2 (se acerca), el emisor se encuentra en reposo vE=0, y el observador se encuentra en reposo vO=0, entonces f=(1+0.2)/(1-0.2)=3/2. La longitud de onda es λ=vs/f=2/3=0.67  (figura superior)

Emisor en movimiento

Cuando el emisor se mueve con velocidad vE=0.2, el movimiento ondulatorio armónico que llega al reflector tiene una frecuencia

y una longitud de onda λ’=4/5=0.8.

En la figura, se compara los sucesivos frentes de onda producidos por un emisor en reposo y los producidos por un emisor en movimiento

En esta figura, se compara los movimientos ondulatorios armónicos

 La onda llega al reflector y cambia de frecuencia, aumentando si se acerca el emisor y disminuyendo si se aleja del emisor.

Observador en movimiento

Cuando el emisor y el observador coinciden vE=vO, la frecuencia f escuchada por el emisor es (este sería el caso del murciélago)

Como caso particular interesante, es aquel en el que la velocidad del emisor y del reflector coinciden vE=vR, entonces f=f0.

 

Actividades

Se introduce

  • La velocidad del emisor vE (positiva), actuando en la barra de desplazamiento titulada V. emisor

  • La velocidad del reflector vR (positiva o negativa), actuando en la barra de desplazamiento titulada V. reflector.

  • La velocidad del sonido se ha fijado en vs=1.0

  • La frecuencia se ha fijado en f0=1

Se pulsa el botón titulado Empieza

En la parte superior izquierda del applet, se proporciona el dato de la frecuencia f del sonido escuchado por un observador en reposo vO=0.

Observador en reposo

Se mide el periodo de la onda respecto del observador en reposo con el contador de tiempo en la parte superior izquierda del applet del siguiente modo:

Cuando un nodo pasa por una marca se anota el tiempo t utilizando la combinación de botones Pausa/Paso, cuando el siguiente nodo pasa por la misma marca se ha completado medio periodo, cuando el siguiente nodo pasa por la marca elegida se anota el tiempo t’, la diferencia es el periodo P=t’-t de la onda medida por un observador en reposo.

Se mide la longitud de onda  por el observador en reposo, con la regla horizontal utilizando la combinación de botones Pausa/Paso

Observador coincide con el emisor

Cuando el emisor y el observador coinciden (los murciélagos) vO=vE, podemos medir el periodo y la frecuencia de la onda reflejada del siguiente modo:

Cuando un nodo pasa por la posición del emisor (círculo de color rojo) se anota el tiempo t utilizando la combinación de botones Pausa/Paso, cuando el siguiente nodo pasa por la misma marca se ha completado medio periodo, cuando el siguiente nodo pasa por el emisor se anota el tiempo t’, la diferencia es el periodo P=t’-t de la onda medida por un observador que coincide con el emisor.

 

 

Referencias

Perrine J. O., The Doppler and echo Doppler effect. Am. J. Phys.  12 (1944), pp. 23-28