Evaporación del agua

prev.gif (1231 bytes)home.gif (1232 bytes)next.gif (1211 bytes)

Física Estadística y Termodinámica

Calor y temperatura
Calor específico
de un sólido
Equivalente mecánico
del calor
Calor de fusión
Calor de vaporización

Ley del enfriamiento
de Newton
marca.gif (847 bytes)Evaporación del agua
Calentamiento 
periódico
Recinto finito

Cero absoluto de
temperatura
Medida de la presión
atmosférica
Oscilaciones de un 
globo
Medida de la presión
de vapor del agua (I)
Medida de la presión
de vapor del agua (II)

Sin pérdidas de calor

Con pérdidas de calor

Actividades

Referencias

 

En la página titulada “Calor latente de fusión y de vaporización del agua” hemos estudiado el proceso de evaporación del agua. En esta página, se estudia el proceso de evaporación suponiendo que las pérdidas de calor son importantes y obedecen a la ley de enfriamiento de Newton

Sin pérdidas

Se coloca un recipiente con una masa m de agua sobre un hornillo eléctrico de potencia P.

La temperatura inicial del agua es Ta, la temperatura ambiente. A medida que transcurre el tiempo, se va elevando la temperatura del agua, hasta que entra en ebullición a 100 ºC en el instante t1.

P·t1=m·c·(100-Ta)
El agua se evapora, disminuyendo el nivel de agua en el recipiente  en el instante t se habrá evaporado una masa me de agua

(t-t1)=me·Lv

donde Lv es el calor de evaporación del agua

Con pérdidas

Ahora bien, las pérdidas de calor son importantes  ya que la diferencias de temperatura entre el agua en ebullición y el ambiente es muy grande. Vamos a formular de nuevo, el problema teniendo en cuenta las pérdidas de calor y supondremos que obedecen a la ley de enfriamiento de Newton.

El calor dQ=P·dt suministrado por el hornillo eléctrico en el intervalo de tiempo entre t y t+dt se invierte:

  • En elevar la temperatura del agua mc·dT

  • Se transfiere a la atmósfera αS (T-Tadt de acuerdo con la ley del enfriamiento de Newton.. Donde a es el coeficiente de intercambio de calor y S es el área del cuerpo en contacto con la atmósfera. T es la temperatura del agua y Ta es la temperatura ambiente

Integramos la ecuación diferencial con las siguientes condiciones iniciales, en el instante t=0, la temperatura del agua es la temperatura ambiente Ta.

Despejamos la temperatura T del agua

τ se denomina constante de tiempo.

La temperatura T crece hasta que alcanza un límite cuando t→∞

Esta es una expresión similar:

Puede ocurrir dos casos:

  1. Que las pérdidas αS sean grandes o la potencia P del hornillo sea pequeña de modo que T<100, entonces la temperatura del agua crece desde Ta hasta T pero el agua no entra en ebullición.

  1. Que las pérdidas αS sean pequeñas o la potencia P del hornillo sea suficiente de modo que T>=100, entonces la temperatura del agua crece desde Ta hasta 100ºC, el agua no entra en ebullición y luego, se va evaporando hasta que se agota

Poniendo T=100 y despejamos el instante t1 en el que el agua entra en ebullición

Cuando las pérdidas son pequeñas αS→0, utilizamos la aproximación ln(1+x)≈x

Que es el resultado que obtuvimos suponiendo que no hay pérdidas

A partir de este momento, la temperatura del agua se mantiene constante. El calor dQ=P·dt suministrado por el hornillo eléctrico en el intervalo de tiempo entre t y t+dt se invierte:

  • en evaporar una masa dm de agua, Lv·dm, siendo Lv es el calor de evaporación del agua

  • se transfiere a la atmósfera αS (100-Tadt, ley del enfriamiento de Newton.

P·dt=Lv·dm+αS (100-Ta)

La masa me de agua evaporada en el instante t>t1 es

El agua que permanece líquida en el recipiente es m-me

Si no hubiese pérdidas, αS=0

Ejemplo:

  • La masa de agua en el recipiente, m=1.0 kg de agua

  • La potencia del hornillo, P=150 W

  • La temperatura ambiente Ta=20ºC

  • El calor específico del agua es c=4180 J/(kg ºC)

  • El calor de evaporación del agua es Lv=2260·103 J/kg

  • El coeficiente de las pérdidas de calor αS=1.5 J/ºC

  1. Con pérdidas

La temperatura T crece

Como T>100, la temperatura T del agua crece hasta alcanzar la temperatura de ebullición T=100ºC en el instante t1

A partir del instante t>t1 el agua se evapora.

En el instante t=120 min=7200 s se ha evaporado

Se han evaporado 36 ml de agua y permanecen 1000-36=964 ml en estado líquido

  1. Sin pérdidas αS=0.

A partir del instante t>t1 el agua se evapora.

En el instante t=120 min=7200 s se ha evaporado

Se han evaporado 330 ml de agua y permanecen 1000-330=670 ml en estado líquido

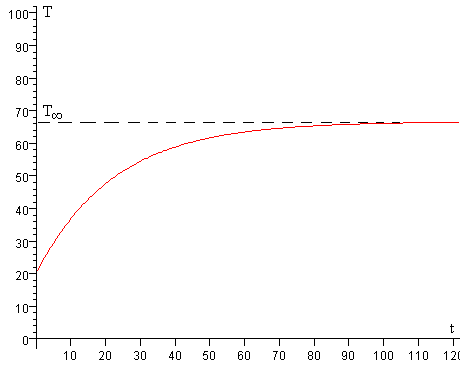
  1. La potencia del hornillo eléctrico se reduce a P=75 W

La temperatura T crece

Como T<100, la temperatura T del agua no alcanza la temperatura de ebullición

 

Actividades

Se ha fijado

  • La masa de agua en el recipiente, m=1.0 kg de agua

  • La temperatura ambiente Ta=20ºC

  • La temperatura inicial del agua en el recipiente T=20ºC

Se introduce

  • La potencia eléctrica del hornillo P, actuando en la barra de desplazamiento titulada Potencia

  • El coeficiente de proporcionalidad αS en la ley del enfriamiento de Newton, actuando en la barra de desplazamiento titulada Pérdidas

Se pulsa el botón titulado Empieza

Se observa el incremento de la temperatura del agua que contiene el recipiente. Si la potencia del hornillo eléctrico es suficiente o las pérdidas no son grandes el agua alcanzará la temperatura de ebullición. Observaremos que el agua se evapora disminuyendo el agua líquida contenida en el recipiente sin cambiar la temperatura.

En el caso de que la potencia del hornillo eléctrico no sea suficiente o las pérdidas sean grandes, el agua  no alcanzará la temperatura máxima de ebullición.

En la parte derecha del applet, se representa:

  • En el eje horizontal, el tiempo en minutos

  • En el eje vertical, la temperatura T del agua contenida en el recipiente.

 

 

Referencias

O'Connell J. Heating water: Rate correction due to Newtonian cooling. The Physics Teacher Vol 37, December 1999, pp. 551-552