El péndulo cónico

prev.gif (1231 bytes)home.gif (1232 bytes)next.gif (1211 bytes)

Dinámica

Trabajo y energía
Trabajo y energía
El péndulo simple
El muelle elástico (I)
El muelle elástico (II)
El muelle elástico (III)
Partícula unida a 
una goma
Trabajo y energía
(el bucle)
marca.gif (847 bytes)El péndulo cónico
Equilibrio y 
estabilidad (I)
Equilibrio y 
estabilidad (II)
Equilibrio y 
estabilidad (III)
Equilibrio y 
estabilidad (IV)
Movimiento sobre
una cicloide (I)
Movimiento sobre
cúpula semiesférica
Movimiento sobre
sup. semicircular
Carrera de dos
esquiadores
Movimiento sobre
una cicloide (II)
Movimiento sobre
una parábola
Sistema de referencia inercial

Sistema de referencia no inercial

Estabilidad de las soluciones

Un dispositivo similar

java.gif (886 bytes)Actividades

Referencias

 

En esta página, estudiamos un problema típico de dinámica del movimiento circular uniforme, el péndulo cónico, desde el punto de vista del observador inercial y no inercial. Un aspecto novedoso es el estudio del péndulo cónico en términos de la energía potencial total correspondientes a las fuerzas conservativas peso y fuerza centrífuga.

Supongamos una partícula de masa m que está conectada mediante una varilla de longitud l y de masa despreciable al eje vertical de un motor. La varilla se desvía del eje vertical un ángulo q  cuando la velocidad angular del motor es mayor que un cierto valor mínimo wc. La partícula describe entonces una circunferencia horizontal de radio l·senq . A este sistema se le denomina péndulo cónico.

 

Sistema de referencia inercial

Consideremos primero la situación más simple. Sustituyamos la varilla por un hilo inextensible y sin peso.

Como podemos apreciar en la figura, si la partícula de masa m describe una circunferencia de radio l·senq, las fuerzas que actúan sobre la partícula son:

  • El peso mg
  • La tensión del hilo T.

Sustituimos la tensión T por la acción simultánea de sus componentes rectangulares.

  • La partícula está en equilibrio a lo largo de eje vertical.

T·cosq =mg

  • La partícula describe un movimiento circular uniforme en el plano horizontal, su aceleración es an=w 2·l·senq  y tiene la dirección radial y sentido hacia el centro de la circunferencia que describe. Aplicando la segunda ley de Newton,

T·senq =mw 2·l·senq

Despejando T en la primera ecuación y sustituyéndola en la segunda, tenemos dos posibles soluciones

senq =0
w 2·l·
cosq =g

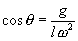
Despejando cosq en la segunda

Como cosq £ 1, esta la solución existe solamente para w2³ g/l. Es decir, el péndulo abandona su posición vertical solamente si se cumple dicha desigualdad.

 

Sistema de referencia no inercial

Para hacer funcionar al péndulo cónico deberemos sustituir el hilo por una varilla rígida de la misma longitud l que supondremos de masa despreciable. El extremo superior de la varilla estará fijado a un gozne en el eje de un motor que gira con velocidad angular w . En el sistema de referencia que gira con la varilla, tenemos un sólido rígido (la varilla) con un punto fijo O y un sólo grado de libertad, el ángulo q .

Debido a la fuerza centrífuga sobre la partícula, la varilla se desviará de su posición vertical un ángulo q  cuando la velocidad angular w del motor sea lo suficientemente grande.

En el sistema de referencia en rotación con el eje del motor, la varilla se encontrará en equilibrio si el momento total del peso y de la fuerza centrífuga respecto del eje O es cero.

  • El momento del peso es

mg·l·senq .

  • El momento de la fuerza centrífuga es

mw 2·l·senq ·l·cosq

Ambos momentos tienen la misma dirección (perpendicular al plano formado por la fuerza y el punto O) pero sentidos opuestos. Igualando el momento total a cero

ml·senq (w2l·cosq -g)=0

Tenemos de nuevo, dos soluciones

senq =0
w 2·l·
cosq =g

 

Estabilidad de las soluciones

El peso es una fuerza conservativa. La energía potencial aumenta cuando la partícula se desvía un ángulo q

Eg= mg(l-l·cosq )

La fuerza centrífuga depende solamente de la distancia x al eje de rotación, es una fuerza conservativa similar a la que ejerce de un muelle elástico.

La fuerza que ejerce un muelle elástico es de sentido contrario al desplazamiento F=-kx, su energía potencial es positiva Ep=kx2/2

La fuerza centrífuga tiene el mismo sentido que el desplazamiento F=mw 2·x

y su energía potencial será por tanto negativa Ec=- m w 2x2/2. La energía potencial inicial para x=0, se toma como Ec=0.

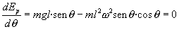
Cuando el péndulo se ha desviado un ángulo q , el desplazamiento horizontal es x= l·senq . La energía potencial total de la partícula será la suma de ambas contribuciones Ep=Eg+Ec.

La condición de equilibrio se establece cuando Ep sea un extremo (máximo o mínimo)

Que proporciona dos soluciones

θ=0 ó π

La estabilidad de la solución depende de la derivada segunda.

  1. Para la primera solución q =0

  • Siempre que w 2<g/l, la derivada segunda es positiva y el equilibrio es estable, véase la figura de la izquierda
  • Si w 2>g/l, la derivada segunda es negativa y el equilibrio es inestable, véase la figura de la derecha
  1. Para q =p la derivada segunda es siempre negativa y el equilibrio es inestable, en ambas figuras
  1. Para q =arccos(g/l w 2)

  • Si w 2>g/l, la solución es estable, figura de la derecha

El péndulo cónico está por tanto, caracterizado por una velocidad angular crítica

por encima de la cual el péndulo se desvía de la vertical. Por debajo de esta velocidad angular crítica, el péndulo permanece en la posición vertical q =0.

 

Un dispositivo similar

Consideremos un aro de radio R que puede girar alrededor de su diámetro vertical con velocidad angular w. Un punto material de masa m se  mueve a lo largo de la circunferencia sin rozamiento. Su posición está dada por el ángulo q  tal como se señala en la figura.

Las fuerzas que actúan sobre la partícula, cuando estamos situados en el Sistema de Referencia en rotación son:

  • El peso mg
  • La fuerza centrífuga Fc=mw2Rsenq 
  • La reacción N de la superficie circular.

Descomponemos las fuerzas en la dirección vertical y horizontal. En la situación de equilibrio, se cumplirá que

N·cosq =mg
N
·senq =Fc

Que son las mismas ecuaciones que hemos obtenido al principio de esta página.

Si descomponemos las fuerzas en la dirección tangencial y normal a la circunferencia, tendremos que en la situación de equilibrio

mg·senq =Fc·cosq  

La partícula está en equilibrio en la dirección normal. Si no está en equilibrio en la dirección tangencial, la fuerza neta en esta dirección es

F= -mg·senq +Fc·cosq  = -mg·senq +mw 2·R·senq ·cosq

Esta fuerza depende solamente de la posición q  y es conservativa. La energía potencial correspondiente a la fuerza F(q ) es

Tomando como nivel cero de energía potencial Ep(0)=0 para q=0,  integramos y haciendo algunas operaciones, se obtiene

 

La misma expresión que hemos obtenido en el apartado "Estabilidad de las soluciones"

 

Actividades

Vamos a estudiar el comportamiento de un péndulo cónico que tiene una longitud l=1 m fijada en el programa interactivo.

Podemos cambiar la velocidad angular w de rotación del motor, introduciendo un valor en el control de edición titulado Velocidad angular.

Se pulsa el botón titulado Empieza.

  • Si la velocidad angular de rotación w es menor que el valor crítico rad/s el péndulo permanece en la posición vertical q =0.
     
  • Si la velocidad angular de rotación w es mayor que el valor crítico, el péndulo se desvía de la posición vertical un ángulo

A la derecha del applet, se representa la energía potencia Ep en función del ángulo q  en unidades mgl. Podemos observar que los mínimos y los máximos de la energía potencial, es decir, las posiciones de equilibrio estable e inestable.

Activando la casilla titulada Vectores, se muestra las fuerzas (en color azul) sobre la partícula, suspendida de un hilo inextensible:

  • El peso
  • La tensión de la cuerda

Se dibuja mediante una flecha de color rojo, la aceleración normal, dirigida hacia el centro de la trayectoria circular.

stokesApplet aparecerá en un explorador compatible con JDK 1.1.

 

Referencias

Dupré A., Janssen P.. An accurate determination of the acceleration of gravity g in the undergarduate laboratory. Am. J. Phys. 68 (8) August 2000, pp. 704-711.