Medida del coeficiente de rozamiento estático.

prev.gif (997 bytes)home.gif (1232 bytes)next.gif (1211 bytes)

Dinámica

Fuerza de rozamiento
El rozamiento por
deslizamiento
Medida del coeficiente
cinético (I)
Medida del coeficiente
cinético (II)
Medida del coeficiente
cinético (III)
Fuerza de rozamiento 
en un plano inclinado
El mejor ángulo para
arrastrar un bloque
marca.gif (847 bytes)Medida del coeficiente 
 estático
Barra apoyada en dos
puntos móviles.
Placa apoyada en dos
rodillos que giran.
Dos bloques
superpuestos
Fundamentos físicos

Ejemplos

java.gif (886 bytes)Actividades

 

El objetivo de esta página, es analizar el movimiento de los tres cuerpos que forman el sistema que aparece en la figura.

Un cuerpo A cuelga de una cuerda que pasa a través de una polea de masa despreciable y que está unida a un bloque B que puede deslizar a lo largo de un plano horizontal. Sobre el bloque B se coloca un cuerpo C. Se supone que el rozamiento entre el cuerpo B y el plano horizontal es despreciable. Mientras que existe un   rozamiento entre el cuerpo C y el cuerpo B.

roza10.gif (1678 bytes)

Este ejercicio puede servir como experiencia simulada para medir el coeficiente de rozamiento estático. Se va variando la masa del cuerpo A, es decir, la aceleración del sistema, hasta observar que el cuerpo C comienza a deslizar sobre el cuerpo B. Con los datos de las masas de los tres cuerpos calculamos la aceleración del sistema y a partir de este dato determinamos el coeficiente de rozamiento estático.

 

Fundamentos físicos

En la figura, vemos el diagrama de fuerzas, a partir del cual obtenemos las ecuaciones del movimiento de cada uno de los cuerpos en las distintas situaciones

  • Cuando el cuerpo C está en reposo sobre el cuerpo B.
    Ambos tienen la misma aceleración a que la del cuerpo A

roza11.gif (1557 bytes)

mAg-T=mA·a Movimiento del cuerpo A
T-Fr=mB·a Movimiento del cuerpo B
Fr=mC·a Movimiento del cuerpo C

La fuerza de rozamiento Fr es la que hace que el cuerpo C esté ese mueva con el cuerpo B: el cuerpo B ejerce una fuerza Fr sobre el cuerpo C dirigida hacia la derecha. Por el Principio de Acción y Reacción el cuerpo C ejerce una fuerza igual y de sentido contrario sobre el cuerpo B.

De éstas ecuaciones obtenemos la aceleración a y la fuerza Fr de rozamiento entre los cuerpos B y C.

  • Cuando el cuerpo C va a empezar a deslizar sobre el cuerpo B

Cuando Fr=mC·a alcance el valor máximo m sN o bien, m smCg, el cuerpo C va a empezar a deslizar sobre el cuerpo B. m s es el coeficiente de rozamiento estático.

Incrementando la masa de A, incrementamos la aceleración, en el momento en el que el cuerpo C va a empezar a deslizar se cumple que

a=msg

Calculamos la aceleración crítica a, a partir de los valores de las masas mA, mB y mC en la fórmula anterior y a continuación, obtenemos el valor del coeficiente de rozamiento estático.

  • Cuando el cuerpo C desliza sobre el cuerpo B

roza12.gif (1597 bytes)

Cuando se incrementa aún más la masa de A, se incrementa la aceleración a, el cuerpo C desliza sobre el cuerpo B, el valor de la fuerza de rozamiento disminuye y vale ahora

Fr=mkmC·g

Donde mk es el coeficiente de rozamiento por deslizamiento.

Las aceleraciones a del cuerpo B y la aceleración a' del cuerpo C ya no son las mismas

mAg-T=mA·a Movimiento del cuerpo A
T-Fr=mB·a Movimiento del cuerpo B
Fr=mC·a’ Movimiento del cuerpo C
Fr=mkmC·g Fuerza de rozamiento

Como la aceleración a de B, es mayor que la aceleración a’ de C, la aceleración relativa de C respecto de B, es a’-a. Desde el punto de vista de un observador situado en B, el cuerpo C se mueve hacia atrás con una aceleración |a’-a|.

roza13.gif (941 bytes) El cuerpo C tarda en llegar al final del cuerpo B un tiempo t, dado por

donde x es la distancia recorrida del cuerpo C sobre el cuerpo B.

La velocidad con respecto al Laboratorio del cuerpo C cuando abandona el cuerpo B será

donde t es el tiempo que C está deslizando sobre B.

En el momento en el que el cuerpo C abandona el bloque B, la aceleración del sistema formado por los bloques A y B cambia,
 
mAg-T=mA·a Movimiento del cuerpo A
T=mB·a Movimiento del cuerpo B

  • El cuerpo C abandona el cuerpo B
roza14.gif (1322 bytes) Ahora el cuerpo C que tiene una velocidad inicial vC dirigida hacia la derecha, se mueve bajo la sola influencia de su peso. Describe, por tanto, un movimiento curvilíneo bajo la aceleración constante de la gravedad, o un tiro parabólico.

El tiempo que tarda en llegar al plano horizontal es

donde h es la altura del bloque B.

La distancia que recorre horizontalmente es

x=vCt

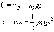
  • El cuerpo C desliza sobre el plano horizontal
roza15.gif (941 bytes) Una vez que el cuerpo C entra en contacto con el plano horizontal, sobre el cuerpo C actúa una fuerza de rozamiento que hace que se pare al cabo de un cierto tiempo.

Suponemos que la fuerza de rozamiento entre el plano horizontal y el bloque C, es la misma que entre el bloque C y el bloque B. El cuerpo C, con una velocidad inicial horizontal vC, se parará después de haber recorrido una distancia x, dada por

           

 

Ejemplos

Supongamos que los coeficientes de rozamiento son:

  • Coeficiente estático μs=0.34
  • Coeficiente cinético μk=0.25

Las masas de los bloques B y C están fijadas por el programa interactivo

  • Masa del bloque B, mB=2.5 kg

  • Masa del bloque C, mC=1.5 kg

La masa del bloque A se puede cambiar.

Ejemplo 1

Masa del bloque A, mA=1.3 kg

Observamos que el cuerpo C está en reposo sobre el cuerpo B, la aceleración vale

La fuerza de rozamiento Fr que hace que el cuerpo C se mueva con aceleración a es

Fr=mC·a=1.5·2.4=3.60 N

Que  es inferior a la máxima μs·N=μs·mC·g=0.34·1.5·9.8=5.0 N

Ejemplo 2

Masa del bloque A, mA=6.3 kg

Si suponemos que el cuerpo C está en reposo sobre el cuerpo B, la aceleración vale

La fuerza de rozamiento Fr que que hace que el cuerpo C se mueva con aceleración a es

Fr=mC·a=1.5·5.99=8.99 N

Que como vemos es superior al máximo valor μs·N=μs·mC·g=0.34·1.5·9.8=5.0 N

  • El cuerpo C desliza sobre el bloque B.

La fuerza que actúa sobre el cuerpo C es la de rozamiento Fr= μk·N= μk·mC·g=0.25·1.5·9.8=3.67 N, y su aceleración vale a'= μk·g=0.25·9.8=2.45 m/s2

La aceleración de los bloques A y B valen ahora

El bloque C desliza hacia atrás con una aceleración de a-a'=4.15 m/s2 sobre el bloque B. Como el bloque B mide 0.5 m de largo, tarda un tiempo t1=0.49 s en abandonarlo con una velocidad de vC=a'·t1=2.45·0.49=1.20 m/s

En este tiempo el bloque B se habrá desplazado

y tendrá una velocidad de vB=a·t1=6.60·0.49=3.24 m/s

El cuerpo C se habrá desplazado

A partir de este instante, la aceleración del sistema formado por el bloque A y el B cambia y vale

  • El cuerpo C describe una trayectoria parabólica hasta que llega al suelo.

Como la altura del bloque B es de 0.25 m el tiempo que tarda en llegar al suelo es t2=0.23 s.

El desplazamiento del cuerpo C en este tiempo será vC·t2=1.20·0.23=0.27 m

La posición del cuerpo C cuando toca el suelo será la suma de ambos desplazamientos

xC=0.30+0.27=0.57 m

Esta es la posición del cuerpo C en el instante t1+t2=0.49+0.23=0.72 s.

  • El cuerpo C desliza con rozamiento sobre el suelo hasta que se para.

La velocidad inicial del cuerpo C es vCEl tiempo que tarda en parase

El desplazamiento del móvil C durante este tiempo es de 0.29 m

La posición de C en el instante t1+t2+t3=0.49+0.23+0.49=1.21 s. es

xC=0.57+0.29=0.86 m

El desplazamiento del bloque B desde el instante t1=0.49 s en el que se desprende el bloque C al instante t=1.21 s en el que se para el bloque C vale

La posición del cuerpo B será xB=0.79+4.15=4.94 m. Esta posición no aparece en la simulación ya que el máximo desplazamiento de B es de 2.3 m.

Ejemplo 3

Determinación del coeficiente de rozamiento estático

Se modifica la masa de A hasta observar que el bloque C comienza a moverse sobre el bloque B. Por ejemplo, observamos que el bloque C no se mueve cuando la masa de A, mA=2.0, y observamos que el bloque C se mueve cuando mA=2.1 kg.

Si refinamos un poco las medidas, veremos que el bloque C no se mueve cuando mA=2.05 y se mueve cuando mA=2.06.

La aceleración crítica del sistema tomando mA=2.05  es

El coeficiente de rozamiento estático valdrá entonces a=msg, por lo que ms=0.34, que es el dato que nos ha suministrado el programa interactivo.

 

Actividades

Cada vez que se pulsa el botón titulado Nuevo, el programa interactivo genera números al azar, que representan a los coeficientes de rozamiento estático y cinético entre el cuerpo C y el bloque B .

Las masas de los bloques B y C vienen fijadas por el programa en 2.5 y 1.5 kg respectivamente. La masa de A se puede cambiar para modificar la aceleración del sistema. A continuación, se pulsa el botón Empieza.

Para medir el coeficiente de rozamiento estático, se pulsa el botón Empieza. Si el bloque C no se mueve sobre el bloque B, incrementamos la masa de A y volvemos a pulsar el botón Empieza y así sucesivamente, hasta que el bloque empiece a deslizar.

Activando la casilla titulada Vectores, se representan los vectores fuerza que actúan sobre el bloque C . Podemos apreciar como aumenta la fuerza de rozamiento a medida que aumenta la aceleración del sistema mientras el bloque C está en reposo sobre el bloque B.

Cuando la fuerza de rozamiento alcanza el valor máximo, el bloque C empieza a deslizar sobre el bloque B, ambos bloques B y C tienen entonces distinta aceleración. El bloque C desliza hacia atrás visto por un observador situado en el bloque B.

stokesApplet aparecerá en un explorador compatible con JDK 1.1.