Difusión. Ley de Fick

prev.gif (1231 bytes)home.gif (1232 bytes)next.gif (1211 bytes)

Fenómenos de transporte

Difusión
marca.gif (847 bytes)Difusión
Medida del coeficiente 
de difusión
Simulación de la difusión

Movimiento browniano
Sedimentación
Constante Boltzmann
Ley de Fick

java.gif (886 bytes)Difusión unidimensional

java.gif (886 bytes)Difusión de sal en agua

java.gif (886 bytes)Difusión bidimensional. Gota de tinta

Referencias

Código fuente

 

Ley de Fick

La experiencia nos demuestra que cuando abrimos un frasco de perfume o de cualquier otro líquido volátil, podemos olerlo rápidamente en un recinto cerrado. Decimos que las moléculas del líquido después de evaporarse se difunden por el aire, distribuyéndose en todo el espacio circundante. Lo mismo ocurre si colocamos un terrón de azúcar en un vaso de agua, las moléculas de sacarosa se difunden por todo el agua. Estos y otros ejemplos nos muestran que para que tenga lugar el fenómeno de la difusión, la distribución espacial de moléculas no debe ser homogénea, debe existir una diferencia, o gradiente de concentración entre dos puntos del medio.

Difus_1.gif (2401 bytes)

Supongamos que su concentración varía con la posición al lo largo del eje X. Llamemos J a la densidad de corriente de partículas, es decir, al número efectivo de partículas que atraviesan en la unidad de tiempo un área unitaria perpendicular a la dirección en la que tiene lugar la difusión. La ley de Fick afirma que la densidad de corriente de partículas es proporcional al gradiente de concentración

La constante de proporcionalidad se denomina coeficiente de difusión D y es característico tanto del soluto como del medio en el que se disuelve.

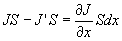
La acumulación de partículas en la unidad de tiempo que se produce en el elemento de volumen S·dx es igual a la diferencia entre el flujo entrante JS, menos el flujo saliente J’S, es decir

La acumulación de partículas en la unidad de tiempo es

Igualando ambas expresiones y utilizando la Ley de Fick se obtiene

Ecuación diferencial en derivadas parciales que describe el fenómeno de la difusión . Si el coeficiente de difusión D no depende de la concentración

 

Difusión unidimensional

Vamos a considerar el problema de la difusión unidimensional de una masa M de soluto, situada en el origen de un medio unidimesional representado por el eje X.

Difus_3.gif (1390 bytes)

La solución de la ecuación diferencial nos da la concentración en los puntos x del medio en cada instante de tiempo t.

La cual se puede comprobarse por simple sustitución en la ecuación diferencial

En el programa interactivo, cada vez que se introduce el valor del tiempo, se traza en la ventana del applet la función n(x,t). Se puede observar que el área bajo la curva acampanada es la misma para todos las gráficas. Como puede comprobarse

Para ello, se emplea el resultado de la integral

Desplazamiento medio cuadrático

Integramos por partes

Debajo de cada curva, se traza un segmento cuya longitud es igual al doble de la raíz cuadrada de la media de los cuadrados de los desplazamientos de las partículas y mide la extensión efectiva de las partículas en el medio.

Vamos a estudiar dos tipos de difusión

  1. Gas en aire, se supondrán gases ideales. En esta aproximación, el coeficiente de difusión se mantiene constante y no varía con la concentración.
  1. De un soluto sólido en un disolvente, el coeficiente de difusión es sensible a la concentración, aunque supondremos disoluciones diluidas. Para bajas concentraciones, el coeficiente de difusión se mantiene aproximadamente constante.

En los dos ejemplos de difusión, de un gas en aire, o de un soluto en agua (líquido), se pone de manifiesto la relación entre el orden de magnitud del coeficiente de difusión y la escala de longitud o de tiempo en el que transcurren ambos fenómenos.

 

Actividades

  • Se elige el soluto y el disolvente.  Se presentan dos grupos: gases y vapores en aire en el que el exponente del coeficiente de difusión es -4, y soluciones acuosas en el que el exponente del coeficiente de difusión es -9.
Gases y vapores en aire
1 Hidrógeno 0.64 10-4
2 Oxígeno 0.18 10-4
3 Alcohol 0.10 10-4
4 Benceno 0.08 10-4
Soluciones acuosas
5 Azúcar 0.36 10-9
6 Sal común 1.10 10-9
7 Alcohol 0.80 10-9
  • El instante t, en horas (Gases y vapores) o en días (Soluciones acuosas), en el que deseamos representar la distribución de concentraciones n(x, t) de cada punto x del medio unidimensional, en el control de edición o actuando en la barra de desplazamiento titulada Tiempo.

Se pulsa en el botón titulado Gráfica.

Se representa la concentración n(x, t) de cada punto x del medio unidimensional en el instante actual (en color rojo) y en el instante previamente introducido (en color azul).
 

Cuestiones

Debajo de la curva se traza un segmento que mide la extensión efectiva de las partículas de soluto en el disolvente. En la parte superior derecha, se proporciona el valor numérico de la longitud de dicho segmento.

Comparar la difusión en dos casos pertenecientes al mismo grupo, midiendo la extensión efectiva de soluto en el disolvente en los mismos instantes.

Comparar la difusión de un gas en aire y de una solución acuosa, midiendo la extensión efectiva de soluto en el disolvente en los mismos instantes. Las unidades de medida del eje X están marcadas en dm.

 

DifusionApplet3 aparacerá en un explorador compatible con JDK 1.1
                                           

 

Difusión de la sal en el agua

El siguiente ejemplo, explica las características esenciales de la mezcla en un estuario, del agua salada procedente del mar con el agua de un río.  El agua del río menos densa fluye sobre el agua de mar. Hay por tanto, una discontinuidad en la densidad con la profundidad, debido a las diferencias de salinidad.

Consideremos la siguiente distribución unidimensional de la concentración

c=c0 para x<0
c=0
, para x>0

en el instante t=0.

La solución de la ecuación de la difusión es

La función error se define

D=1.484·10-9 m2/s es el coeficiente de difusión de la sal en agua pura

Actividades

Se introduce

  • El coeficiente de difusión D, multiplicado por 10-9 m2/s, actuando en la barra de desplazamiento titulada Coeficiente difusión

  • El instante t, en horas, en el que deseamos representar la distribución de concentraciones c(x, t)/ c0 de cada punto x del medio unidimensional, en el control de edición o actuando en la barra de desplazamiento titulada Tiempo.

Se pulsa el botón titulado Gráfica

Se representa la concentración c(x, t)/ c0 de cada punto x del medio unidimensional en el instante actual (en color rojo) y en el instante previamente introducido (en color azul).

En la parte inferior, la concentración de cada punto x del medio unidimensional, en colores de la escala del rojo. El color rojo intenso, equivale a la máxima concentración c=1, y el color blanco a la mínima c=0.

 

DifusionApplet3 aparacerá en un explorador compatible con JDK 1.1
                                              
 

Difusión bidimensional. Gota de tinta

Una gota de tinta de radio a se pone en un recipiente de agua de radio R, siendo a<<R. La profundidad del agua es pequeña, del orden de 1 cm, de modo que la gota de tinta alcanza el fondo del recipiente rápidamente y el movimiento de la tinta está determinado por el proceso de difusión únicamente.

El proceso de difusión bidimensional de la tinta en el agua se describe mediante la siguiente ecuación.

donde D es el coeficiente de difusión de la tinta en agua y n es la concentración de tinta.

En el instante inicial t=0, la tinta está distribuida homogéneamente en el agua dentro de un círculo de radio a.

n=n0 para r≤a
n
=0 para r>a

 

 

La solución de la ecuación diferencial es (véase el artículo citado en las referencias)

donde I0(x) es la función modificada de Bessel de orden cero. Haciendo el cambio de variable

 

Obtenemos la ecuación

que es independiente del radio a de la gota y del coeficiente de difusión D de la tinta en el agua.

En la figura, se representa la concentración relativa n(x, τ)/n0 en función de x=r/a (en color azul) y se compara con la situación inicial (color rojo) para el instante τ=0.02.

Conocido el valor del coeficiente de difusión D y el radio inicial de la gota a, podemos determinar la concentración n(r, t) de tinta a una distancia r=x·a del centro de la gota en el instante t=a2·τ/D

El programa es incapaz de calcular la concentración en función de la distancia x para un tiempo inferior a τ =0.003.

Como comprobación se puede verificar que

la cantidad total de tinta permanece constante, de modo que la integral

que es proporcional a la cantidad inicial de tinta contenida en un círculo de radio unidad.

 

Actividades

Se introduce

  • El tiempo τ actuando en la barra de desplazamiento titulada tiempo, o introduciendo un número mayor que 0.003 en el control de edición.

Se pulsa el botón titulado Gráfica

A la derecha del applet, se representa la concentración relativa n(x, τ)/n0 en función de x=r/a (en color azul) y se compara con la situación inicial (color rojo). A la izquierda, se representa la concentración relativa en función de x codificada en una escala de grises.

 

DifusionApplet3 aparacerá en un explorador compatible con JDK 1.1

 

 

Referencias

Puig Adam P., Curso teórico-práctico de ecuaciones diferencias aplicado a la Física y Técnica. Biblioteca Matemática (1970), págs. 305

Booth C., Beer T., Penrose J. Diffusion of salt in tap water. Am. J. Phys. 46 (5) May 1978. pp. 525-527.

 Sanboh Lee, H-Y Lee, I-F Lee, C-Y Teeng. Ink diffusion in water. Eur. J. Phys. 25. (2004) pp. 331-336.

Press W. H., Teukolsky S. A., Vetterling W. T., Flannery B. P. Numerical Recipes in C, Second edition,  Special functions. Bessel functions of integer order  Chapter 6º. pp. 230. Cambridge University Press. Código en C adaptado por el autor al lenguaje Java

Puig Adam P.,  Curso teórico-práctico de cálculo integral aplicado a la Física y Técnica. Biblioteca Matemática (1972), págs. 124-125

Press W. H., Teukolsky S. A., Vetterling W. T., Flannery B. P. Numerical Recipes in C, Second edition,  Special functions. Error function  Chapter 6º. pp. 221. Cambridge University Press. Código en C adaptado por el autor al lenguaje Java

 

Código fuente

Segundo applet

double erfcc(double x) {
//función complementaria 1-erf(x)
	double t,z,ans;
	z=Math.abs(x);
	t=1.0/(1.0+0.5*z);
	ans=t*Math.exp(-z*z-1.26551223+t*(1.00002368+t*(0.37409196+t*(0.09678418+
		t*(-0.18628806+t*(0.27886807+t*(-1.13520398+t*(1.48851587+
		t*(-0.82215223+t*0.17087277)))))))));
	return x >= 0.0 ? ans : 2.0-ans;
}

Tercer applet

//método de Simpson
public double integral(double a, double b, int n){
	if(n%2==1) n++;
	double h=(b-a)/n;
	double suma=f(a)+f(b);
	for(int i=1; i<n; i+=2){
		suma+=4*f(a+i*h);
	}
	for(int i=2; i<n; i+=2){
		suma+=2*f(a+i*h);
	}
	return (suma*h/3);
}

double f(double z){
	double temp=Math.exp(-z*z/(4*t))*bessi0(x*z/(2*t))*z;
	return temp;
}


public double bessi0(double x) {
//Returns the modifed Bessel function I0(x) for any real x.
	double ax,ans;
	double y; //Accumulate polynomials in double precision.
	if ((ax=Math.abs(x)) < 3.75) { //Polynomial t.
		y=x/3.75;
		y*=y;
		ans=1.0+y*(3.5156229+y*(3.0899424+y*(1.2067492+y*(0.2659732+y*(0.360768e-1+y*0.45813e-2)))));
	} else {
		y=3.75/ax;
		ans=(Math.exp(ax)/Math.sqrt(ax))*(0.39894228+y*(0.1328592e-1+y*(0.225319e-2+
		y*(-0.157565e-2+y*(0.916281e-2+y*(-0.2057706e-1+y*(0.2635537e-1
		+y*(-0.1647633e-1+y*0.392377e-2))))))));
	}
	return ans;
}

//se representa la función
 y=Math.exp(-x*x/(4*t))*integral(0.0, 1.0, 40)/(2*t);