Oscilaciones de un cuerpo que rueda sobre superficie cóncava.

prev.gif (1231 bytes)home.gif (1232 bytes)next.gif (1211 bytes)

Sólido rígido

Movimiento general
de un sólido rígido
Movimiento de una 
esfera en una 
plataforma giratoria
Caja sobre un
plano inclinado
Comportamiento
oscilatorio
Un disco que gira y 
desliza
Disco impulsado por
fuerza constante
Partícula en el borde
de un aro que rueda
marca.gif (847 bytes)Cuerpo que rueda 
  sobre una superficie
  cóncava
Curvas cicloidales
La rueda cuadrada

 

Movimiento de un cuerpo redondo sobre una superficie cóncava

Movimiento Armónico Simple

java.gif (886 bytes)Actividades

Referencias

 

En la página titulada "Movimiento sobre una superficie cóncava en forma de cicloide" demostramos que una partícula que desliza sin rozamiento sobre una superficie cóncava en forma de cicloide describe un Movimiento Armónico Simple cuya frecuencia angular es ω2=g/(4R). Vamos a demostrar que un cuerpo que rueda sin deslizar sobre una superficie cóncava  describe también un Movimiento Armónico Simple, cuya frecuencia y periodo calcularemos en esta página.

 

Movimiento de un cuerpo que rueda sobre una superficie cóncava

En la figura, se muestra la curva C’ sobre la que rueda el cuerpo redondo de radio r y la curva C que describe el centro de dicho cuerpo. La variable u mide la distancia OP a lo largo de la curva C’. Mientras el c.m. se desplaza s a lo largo de la curva C el cuerpo gira un ángulo φ.

El ángulo θ mide la pendiente de la recta tangente a la curva C’ en P

La ecuación del movimiento

Las fuerzas sobre el cuerpo:

  • El peso mg

  • La reacción N de la superficie C’ en el punto de contacto P

  • La fuerza de rozamiento Fr

Formulamos las ecuaciones del movimiento

 

  • Movimiento de traslación del centro de masas

-mg·senq -Fr=mac

  • Movimiento de rotación alrededor de un eje que pasa por el centro de masas

Fr·r=Ic·a

Para un cuerpo redondo (aro, cilindro o esfera) de masa m y de radio r y cuyo momento de inercia Ic=k·mr2 siendo k=1 para un cuerpo en forma de un aro, k=1/2 para un cilindro o disco, y k=2/5 para una esfera.

ac+krα=-g·senθ    (1)

Finalmente, nos queda la condición de que el cuerpo rueda sin deslizar, que como demostraremos más adelante es

ac=a ·r

La ecuación del camino

En la figura, vemos que en un intervalo de tiempo comprendido entre los instantes t y t+dt,

  • el punto de contacto P se ha movido la distancia PP1= du a lo largo de la curva C’,

  • el c.m. se ha movido la distancia QQ1=ds a lo largo de la curva C.

Si trazamos las tangentes a la curva C’ en los puntos P y P1 y las normales a dichas direcciones, vemos que se cortan en un punto O denominado centro de curvatura, la distancia entre dicho punto y P o P1 se denomina radio de curvatura ρ.

Movimiento de traslación del cuerpo.

El ángulo que forman las rectas tangentes es igual al ángulo que forman las direcciones normales.

El arco PP1 es igual al producto del radio OP por el ángulo comprendido dθ.

du=ρ·

El arco QQ1 es igual al producto del radio OQ por el ángulo comprendido dθ.

ds=(ρ-r

Movimiento de rotación del cuerpo.

Ahora, nos fijamos en el movimiento de rotación en el intervalo de tiempo comprendido entre los instantes t y t+dt

Como el cuerpo rueda sin deslizar,  la longitud del arco PP1=P1P’=du. Como la pendiente de la curva se ha incrementado en , el ángulo girado por el cuerpo en dicho intervalo dt de tiempo es

dφ=P1P’/r-dθ=du/r- dθ

Eliminando , tenemos las relaciones

Esta última, es equivalente a la relación entre aceleraciones ac=a ·r

La ecuación del movimiento (1) la podemos escribir en forma diferencial

El c.m. describe un MAS si la aceleración d2s/dt2 es proporcional al desplazamiento s y de signo contrario a éste. Si escribimos

donde R es una constante con dimensiones de longitud que no es el radio r del cuerpo, como veremos más adelante. El c.m. describe un MAS

de frecuencia angular y periodo

Si tomamos como radio R del disco que genera la cicloide la unidad (1 m), y g=9.8 m/s2. Los periodos de las oscilaciones son respectivamente

Cuerpo k Periodo P (s)
aro 1 5.68
cilindro 1/2 4.92
esfera 2/5 4.75

Ecuación de la curva C que guía el c.m. del cuerpo

s=4R·senθ
ds
=4R·cosθ·dθ

dx=ds·cosθ=4Rcos2θ·dθ=2R(1+cos2θ)·dθ
dy
=ds·senθ=4R·senθ·cosθ·dθ=2R·sen2θ·dθ

Integrando x e y con las condiciones iniciales q=0, x=0, y=r.

x=R(2θ+sen2θ)
y=r+ R
(1-cos2θ)

Estas son las ecuaciones paramétricas de una cicloide.

Ecuación de la curva C' sobre la que que rueda el cuerpo

ds=4R·cosθ·dθ. De la relación entre ds y du y como du=ρ·dθ

Obtenemos el valor del radio de curvatura ρ

ρ=r+4cosθ

La relación entre el desplazamiento infinitesimal du del punto P y la pendiente θ es

du=(r+4cosθdθ

dx’=du·cosθ=(r·cosθ+4cos2θdθ=(r·cosθ+2(1+cos2θ))·
dy’
=du·senθ=(r·senθ+4 senθ·cosθ==(r·senθ+2 sen2θ

Integrando x’ e y’ con las condiciones iniciales q=0, x=0, y=0.

x’=r·senθ+R(2θ+sen2θ)
y’=r
(1-cosθ)+ R(1-cos2θ)

Esta no es la ecuación de una cicloide salvo que r→0

Comprobación

En la figura, vemos que al punto P(x’, y’) es un punto de la curva C’ le corresponde el punto Q(x, y) de la curva C. La relación entre x’ y x, y entre y e y’ es

x=x’-r·senθ
y=y’
+ r·cosθ

La curva C que describe el c.m. es una cicloide invertida (-π/2<θ< π/2) cuyo mínimo está en (0, r) y cuyo disco generador tiene un radio R. Sin embargo, la curva C’ sobre la que rueda el cuerpo sin deslizar no es una cicloide salvo que el radio del cuerpo sea r=0.

 

Movimiento Armónico Simple

Cuando un cuerpo describe un MAS su desplazamiento (en este caso el arco s) se expresa en función del tiempo de acuerdo con la ecuación.

s=A·sen(w t+j )

vc=w s0·cos(w t+j)

Donde la amplitud A y la fase inicial j se determina a partir de las condiciones iniciales, en nuestro caso t=0, s=s0, vc=0. La rueda parte de la posición s0 con velocidad inicial cero.

s=s0·sen(w t+p/2)=s0·cos(w ·t)

La velocidad vc del c.m. de la rueda se obtendrá derivando s respecto del tiempo

vc=-w s0·sen(w t)

Balance energético

El balance energético es similar al que efectuamos al estudiar el movimiento de un cuerpo que baja rodando por un plano inclinado.

Cuando la rueda se encuentra en la posición dada por el arco s a lo largo de la cicloide, o a una altura y sobre el origen. La energía potencial es

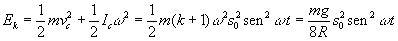
La energía cinética es la suma de la energía cinética de traslación del c.m. y de rotación alrededor de un eje que pasa por c.m.

donde se ha tenido en cuenta la relación entre ambas velocidades vc=w ·r para que ruede sin deslizar.

La suma de la energía cinética Ek y potencial Ep es constante e igual a

 

Actividades

Se introduce

  • La posición inicial s0 (longitud inicial del arco de la cicloide), actuando en la barra de desplazamiento titulada Arco inicial
  • El cuerpo que rueda, en el control de selección titulado Cuerpo.
  • El radio del disco que genera la cicloide se ha fijado en R=1 m, con ello queda fijada la forma de la superficie cóncava.
  • El radio del cuerpo redondo se ha fijado en r=0.4 m

Se pulsa el botón titulado Inicio, y a continuación Empieza.

Observamos como el cuerpo rueda sin deslizar por un camino en forma de cicloide. La ecuación del movimiento es

s=s0·cos(w ·t)

Donde s es la longitud del arco de cicloide y ω la frecuencia angular del MAS

En la parte superior, se muestra el balance energético en un diagrama en forma de tarta. La energía potencial Ep y la energía cinética Ek como suma de la energía cinética de traslación del c.m. y de rotación alrededor de un eje que pasa por el c.m.

Para realizar otro ensayo, se pulsa el botón Inicio, se modifican los parámetros (se elige otro cuerpo o se cambia la posición inicial de partida) y se pulsa el botón titulado Empieza.

CinemaApplet1 aparecerá en un explorador compatible con JDK 1.1.

 

Referencias

Gillespie D. T. Simple harmonic motion of a round body rolling on a concave curve. Am. J. Phys. 52 (2) February 1984, pp. 180-182