Medida de la tensión superficial de una pompa de jabón (I)

prev.gif (1231 bytes)home.gif (1232 bytes)next.gif (1211 bytes)

Fluidos

Tensión superficial
Gotas. Ley de Tate
Presión producida por la
curvatura de una superficie
marca.gif (847 bytes)Tensión superficial de una 
  pompa de jabón (I)
Tensión superficial de una 
pompa de jabón (II)
Método de la burbuja
Fenómenos capilares
Forma de la cuerda
Fundamentos físicos

El modelo de evolución de la burbuja

java.gif (886 bytes)Actividades

Referencias

 

Existen varios métodos para medir la tensión superficial de los líquidos. El método que se simula en esta página, se fundamenta en la ecuación de Laplace que hemos visto en la página anterior.

 

Fundamentos físicos

La diferencia de presión Dp entre el interior y exterior de una burbuja esférica de radio R viene dada por la ecuación de Laplace

El dispositivo experimental consiste en una jeringa conectada a un manómetro y a un tubo cilíndrico, de diámetro interior y exterior conocidos.

burbuja_4.gif (4043 bytes)

El manómetro consiste en un tubo inclinado conectado a un depósito de aceite de densidad conocida. El manómetro está graduado en Pa.

Se introduce y se saca el extremo libre de un tubo de diámetro conocido en una solución jabonosa. Se observa una lámina de fluido que se va convirtiendo en una burbuja a medida que se suministra aire con la jeringa. A su vez observamos en el manómetro que la presión crece hasta que se alcanza un máximo, cuando la burbuja tiene forma semiesférica con un radio igual al del tubo.

Una vez que se alcanza la máxima presión, si se continúa introduciendo aire actuando en la jeringa, el radio de la burbuja se incrementa mientras que la diferencia de presión entre el interior y el exterior de la burbuja disminuye de acuerdo a la ley de Laplace.

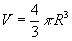
Cuando se ha introducido todo el aire de la jeringa, la burbuja tiene un radio R dado por

donde V es el volumen de aire en la jeringa, que en nuestro caso es de 5 cm3

 

El modelo de evolución de la burbuja

En al figura, se muestra el modelo de la evolución de la burbuja, a medida que insuflamos un volumen de aire V con la jeringa, tal como ha sido simulada en el programa interactivo.

burbuja_1.gif (3430 bytes)

burbuja_2.gif (1663 bytes) Inicialmente la burbuja tiene la forma de la mitad inferior de un elipsoide de revolución de semiejes r, r y h. Siendo r el radio del tubo y h el semieje vertical. El volumen V de aire contenido en dicho semielipsoide es

Dado el volumen V de aire insuflado por la jeringa calculamos h.

Aumentando V, llega un momento que la burbuja adopta el tamaño de una semiesfera de radio r, igual al radio del tubo.

burbuja_3.gif (2391 bytes) Cuando el radio de la burbuja se hace mayor que el radio del tubo r, la burbuja tiene la forma de una esfera de radio R, cuyo centro está a una distancia h de la parte inferior del tubo.

El volumen V de aire insuflado es igual al volumen de una esfera de radio R, menos el volumen del casquete esférico que está en el interior del tubo.

Dado V y r tenemos una ecuación implícita de la cual podemos calcular R. mediante procedimientos numéricos.

 

Una vez que disponemos del radio R de la burbuja calculamos la diferencia de presión del aire en el interior y exterior de la burbuja que marca el manómetro mediante la fórmula de Laplace.

 

Actividades

El programa interactivo genera un valor aleatorio de la tensión superficial comprendido entre 0.015 y 0.035 N/m.

  • Se elige el radio r del tubo entre los siguientes en el control selección titulado radios
    0.180, 0.220, 0.245, 0.300 y 0.405 cm

Se pulsa el botón titulado Nuevo

  • Se arrastra con el puntero del ratón muy despacio la flecha de color rojo (en la parte superior izquierda del applet) para insuflar aire con la jeringa.

Observamos como cambia la diferencia de Dp presión en el manómetro.

Obtenemos el valor de la tensión superficial g , cuando esta diferencia de presión se hace máxima entonces el radio de la burbuja R es igual al radio del tubo r.

Obtenemos el valor de la tensión superficial g cuando se ha insuflado todo el aire contenido en la jeringa V=5 cm3, el radio R de la burbuja es

Al efectuar este cálculo, hemos despreciado el volumen del casquete esférico que está en el interior del tubo (véase la última figura).

Una vez que se han realizado los cálculos se pulsa el botón titulado Respuesta.

 

CalibreApplet aparecerá en un explorador compatible con JDK 1.1.

Arrastrar con el puntero del ratón la flecha de color rojo

 

Referencias

Román F.L., Faro J., Velasco S. A simple experiment for measuring the surface tension of soap solutions. Am. J. Phys. 69 (8) August 2001 pp. 920-921.