Desviación hacia el este de un cuerpo que cae (I)

prev.gif (1231 bytes)home.gif (1232 bytes)next.gif (1211 bytes)

Dinámica celeste

El Sistema Solar
Medida de la velocidad 
de la luz.
La luna
Máquina de Atwood
Periodo de un péndulo
Péndulo accionado por
fuerzas de marea
El fenómeno de las
mareas
Aceleración de la 
gravedad
Viaje por el interior de
la Tierra
Modelo del interior de
la Tierra
marca.gif (847 bytes)Desviación hacia el este
  de un cuerpo que cae (I)
Desviación hacia el este 
de un cuerpo que cae (II)
Choque de un meteorito
con la Tierra
Medida de G
La forma de la Tierra
Descripción

Comparación con la desviación obtenida aplicando la fórmula de la aceleración de Coriolis

java.gif (886 bytes)Actividades

 

La desviación hacia el este de un cuerpo que cae se explica en los libros de Física General desde el punto de vista de un observador situado en un sistema de referencia en rotación. Se introducen los sistemas de referencia no inerciales y se deducen las fórmulas de las denominadas fuerzas ficticias (fuerza centrífuga y de Coriolis).

Un cuerpo que cae en el hemisferio norte es desviado hacia el sur por la fuerza centrífuga y hacia el este por la fuerza de Coriolis.

En este caso, vamos a describir desde el punto de vista de un observador inercial, la caída de un cuerpo desde una determinada altura sobre la superficie de un planeta en rotación. Supondremos que estamos en el plano ecuatorial del planeta.

 

Descripción

Supongamos un planeta de masa M y radio R, que tiene un movimiento de rotación con velocidad angular w . Un observador situado en la superficie del planeta ve como cae un cuerpo de masa m desde una altura h por encima del observador.

coriolis1.gif (2497 bytes) Para un observador inercial no ligado al movimiento de rotación del planeta, el cuerpo se lanza desde una distancia r=R+h del centro del planeta con una velocidad inicial v1=w ·r.

Desde el punto de vista de este observador, el cuerpo se mueve bajo la única influencia de la fuerza de atracción del planeta. Describirá por tanto, una órbita elíptica en uno de cuyos focos estará el centro del planeta. Los pasos de la presente discusión serán los siguientes:

  • Cálculo de la trayectoria elíptica del cuerpo
  • Intersección de la trayectoria con la superficie del planeta
  • Tiempo que tarda en chocar con la superficie
  • Determinación de su desviación respecto de la dirección radial por el observador no inercial, o en rotación con el planeta.

 

Ecuación de la trayectoria elíptica

La ecuación de una elipse en coordenadas polares es

Los valores del parámetro d y de la excentricidad e se calculan a partir de la energía E y del momento angular L de la partícula

Ejemplo: Consideremos el planeta Tierra con los siguientes datos

  • Masa M=5.98·1024 kg
  • Radio R=6.378·106 m
  • Velocidad angular de rotación w =2p /(24·60·60) rad/s
  • Constante de la gravitación G=6.67·10-11 Nm2/kg2

Supongamos que el cuerpo se deja caer desde una altura h=0.1·R=637.8 km, o bien desde una distancia r1=7.02·106 m,

  • Su velocidad es v1=w ·r1=510.2 m/s.
  • Su momento angular vale L=3.58·109· m kgm2/s.
  • Su energía total será E=-5.67·107·m J

Los parámetros d y e de la trayectoria se obtienen mediante las fórmulas

Conocidos los parámetros d y e de la ecuación de la trayectoria, se obtiene r2 y r1

Cuando q =0º, r2=16098 m
Cuando q =180º, r1=7.02·106 m

Otra alternativa

No es necesario utilizar estas dos fórmulas para calcular la ecuación de la trayectoria, existe otro camino alternativo

Conocido r1 y v1 se calcula r2 y v2 aplicando la constancia del momento angular y de la energía

Como en la ecuación de la trayectoria, el valor de r1 se obtiene para q =180º,
y el valor de r2 se obtiene para q =0º,

De estas dos ecuaciones despejamos d y e .

 

Intersección con la superficie del planeta

coriolis2.gif (3314 bytes) Hay que hallar la intersección de una elipse y de una circunferencia de radio R.

Poniendo en la ecuación de la trayectoria r=R, despejamos el ángulo q .

Ejemplo con los datos anteriores cos q i=-0.9995, lo que da un ángulo de intersección de q i =178.3º.

 

Tiempo que tarda en chocar con la superficie

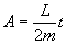
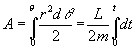
Para calcular el tiempo que tarda el cuerpo desde que se deja caer hasta que choca con la superficie del planeta en el punto P, emplearemos la ley de las áreas.

En coordenadas polares el momento angular se expresa

Como hemos visto el área barrida por el radio vector entre el instante t y el instante t+dt es un triángulo diferencial de área r2·dq /2.

El área barrida por el radio vector en el tiempo t es

Si calculamos el área A sombreada en color azul claro, obtenemos el tiempo t.

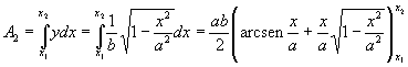
El área A sombreada es la suma del área de un triángulo y el área de la porción de elipse de la figura.

coriolis3.gif (2291 bytes)

El área del triángulo es

El área de la porción de elipse A2 se puede calcular sumando las áreas de los elementos infinitesimales ydx comprendidos entre x1=–a y x2= –R·cos(p -q i)+c. Donde a es el semieje mayor de la elipse a=(r1+r2)/2, y c es la semidistancia focal c=e ·a.

coriolis4.gif (2306 bytes)

La ecuación de la elipse en coordenadas rectangulares es

como x1=–a, la expresión se  reduce a

con x2= –R·cos(p -q i)+e a

Si x2=+a obtenemos la mitad del área de la elipse p ab/2

Ejemplo:

Siguiendo con los datos anteriores tenemos que

  • El semieje mayor de la elipse a=(r1+r2)/2¸ vale a=3.52·106 m
  • La semidistancia focal c=e ·a, vale c=3.50·106 m
  • El semieje menor , vale b=3.36·105 m
  • El área A1=6.17·1011 m2
  • El área A2=8.43·1010 m2
  • El área total es A=7.0·1011 m2

Ahora solamente queda despejar el tiempo de la ecuación

, por lo que t=391.6 s

 

Determinación de su desviación respecto de la dirección radial por el observador no inercial, o en rotación con el planeta.

coriolis5.gif (2689 bytes) El cuerpo después de un tiempo t choca con la superficie del planeta en P. La posición angular del punto P es p -q i. Mientras tanto el observador se ha desplazado al punto O cuya posición angular es w ·t.

La distancia a lo largo de la superficie del planeta entre O y P es la longitud del arco

s=R·(p -q i-w ·t)

Con los datos que disponemos s=11837 m

 

Comparación con la desviación obtenida aplicando la fórmula de la aceleración de Coriolis

Vamos a comparar la desviación hacia el este de un cuerpo que se deja caer desde una altura h en el Ecuador mediante el procedimiento explicado en esta página, con la desviación obtenida aplicando la fórmula de la aceleración de Coriolis.

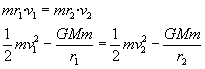
1.-La fuerza de atracción es central y conservativa. La trayectoria que sigue el cuerpo en su caída es elíptica

Sea h=0.01·R=63780 m. cerca de la superficie de la Tierra

Los datos iniciales necesarios para determinar la trayectoria elíptica son:

r1=R+h=6.44·106 m
v1=w ·r1=468.5 m/s

De la constancia del momento angular y de la energía obtenemos r2 y v2. Solamente nos interesa r2=11436 m.

  • El semieje mayor de la elipse vale a=(r1+r2)/2=3.35·106 m
  • La semidistancia focal c=r1-a=3.09·106 m
  • La excentricidad e =c/a=0.996
  • El semieje menor =2.71·105 m

El parámetro d=a(1- e2)=22831.2 m

El ángulo q i=179.52º

El área total A= A1+ A2=1.715·1011+2.30·109=1.74·1011

El tiempo t que tarda en llegar el móvil a la superficie de la Tierra t=2A/(r1·v1)=115.21 s

La desviación del cuerpo respecto del observador en la superficie terrestre.

s=R·(p -q i-w ·t)=355.43 m

2.-Caída de un cuerpo descrita por un observador en rotación (no inercial).

Tiempo que tarda en llegar a la superficie de la Tierra cayendo desde una altura de h=63780 m.

Con h=gt2/2, tomando g=9.8, se obtiene t=114.1 s

Aplicando la fórmula de la desviación para la latitud l =0º.

Obtenemos un valor muy parecido, a pesar de que g es más pequeño que 9.8 debido a la aceleración centrífuga y a que disminuye con la altura.

 

Actividades

Se elige un planeta entre los siguientes:

Planeta Periodo de rotación (horas) Radio ecuatorial (km) Masa x 5.98 1024 kg
Mercurio 1406.4 2 439 0.06
Venus 5 832 6 051 0.82
Tierra 24.0 6 378 1.00
Marte 24.6 3 394 0.11
Júpiter 9.9 71 398 318
Saturno 10.2 60 000 95.1
Urano 10.8 25 400 14.6
Neptuno 15.8 24 750 17.2
Plutón 153.6 1 400 0.002

Fuente: M. Márov. Planetas del Sistema Solar. Editorial Mir

Se introduce la altura sobre la superficie del planeta, una fracción del radio del mismo.

Se pulsa el botón titulado Empieza.

El objeto que está a una altura h por encima del observador no inercial situado en la superficie del planeta, empieza a caer. Su trayectoria para un observador inercial es una porción de una elipse, al mismo tiempo que el objeto cae el observador no inercial describe un movimiento circular. El observador inercial mide el desplazamiento de ambos durante el tiempo de caída del cuerpo.

El observador no inercial situado en la superficie del planeta mide el desplazamiento relativo del cuerpo, la longitud del arco de circunferencia entre la posición que ocupa el observador (un punto de color rojo) y el punto de impacto del cuerpo sobre la superficie del planeta.

La desviación hacia el este del cuerpo que cae es pequeña para los planetas con velocidad de rotación muy baja como Venus, y es muy acusada para planetas con elevada velocidad angular de rotación como Júpiter.